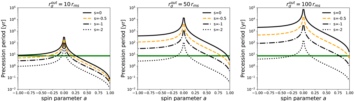
Fig. 7.
 
      Lense-Thirring precession period compared to the potential co-moving precession period of the inner jet of TXS 0506+056 (green solid line; PLT = Pdisk = 7.48 yr). The bottom axis represents the black hole spin value from the maximally retrograde (a = −1) to maximally prograde (a = 1). Different lines represent the Lense-Thirring precession period for different slopes of the surface density profile of the inner accretion disk, using the notation Σ ∝ rs. Left panel: outer radius is  , where rms is the marginally stable radius, which depends on the spin value. Middle panel:
, where rms is the marginally stable radius, which depends on the spin value. Middle panel:  . Right panel:
. Right panel:  .
.
Current usage metrics show cumulative count of Article Views (full-text article views including HTML views, PDF and ePub downloads, according to the available data) and Abstracts Views on Vision4Press platform.
Data correspond to usage on the plateform after 2015. The current usage metrics is available 48-96 hours after online publication and is updated daily on week days.
Initial download of the metrics may take a while.
