Free Access

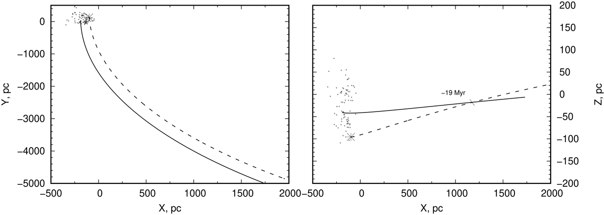
Fig. 6.

image

Galactic orbits of centre of Cas-Tau OB association (solid line) and RZ Psc (dashed line) traced back to 30 Myr and plotted in heliocentric rectangular XYZ coordinates. The intersection point is marked by time in the right panel. The present position of Cas-Tau members from de Zeeuw et al. (1999) is shown by small crosses, and the position of RZ Psc is labeled by an asterisk.

Current usage metrics show cumulative count of Article Views (full-text article views including HTML views, PDF and ePub downloads, according to the available data) and Abstracts Views on Vision4Press platform.

Data correspond to usage on the plateform after 2015. The current usage metrics is available 48-96 hours after online publication and is updated daily on week days.

Initial download of the metrics may take a while.