Free Access

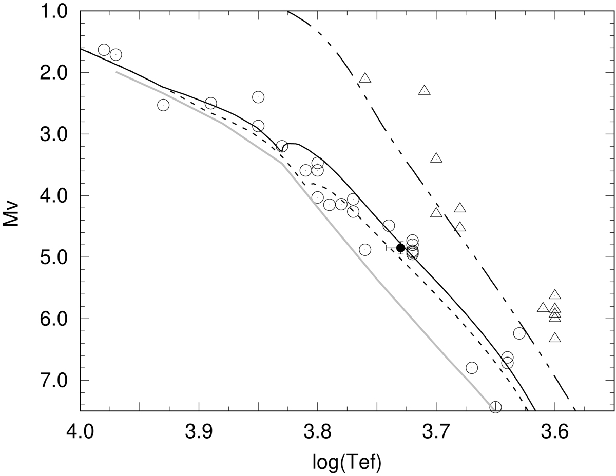
Fig. 7.

image

RZ Psc (black dot) on the H-R diagram. The A-F-G stars of the β Pic moving group from Mamajek & Bell (2014) and its K-type members from Shkolnik et al. (2017) with Gaia parallaxes are shown by open circles. Open triangles correspond to the CTTS in Taurus from Grankin (2016). The 3 (dash-double dot line), 15 (solid line), and 20 (dotted line) Myr isochrones by Bressan et al. (2012) are plotted in the figure. ZAMS is shown by a thick grey line.

Current usage metrics show cumulative count of Article Views (full-text article views including HTML views, PDF and ePub downloads, according to the available data) and Abstracts Views on Vision4Press platform.

Data correspond to usage on the plateform after 2015. The current usage metrics is available 48-96 hours after online publication and is updated daily on week days.

Initial download of the metrics may take a while.