Free Access

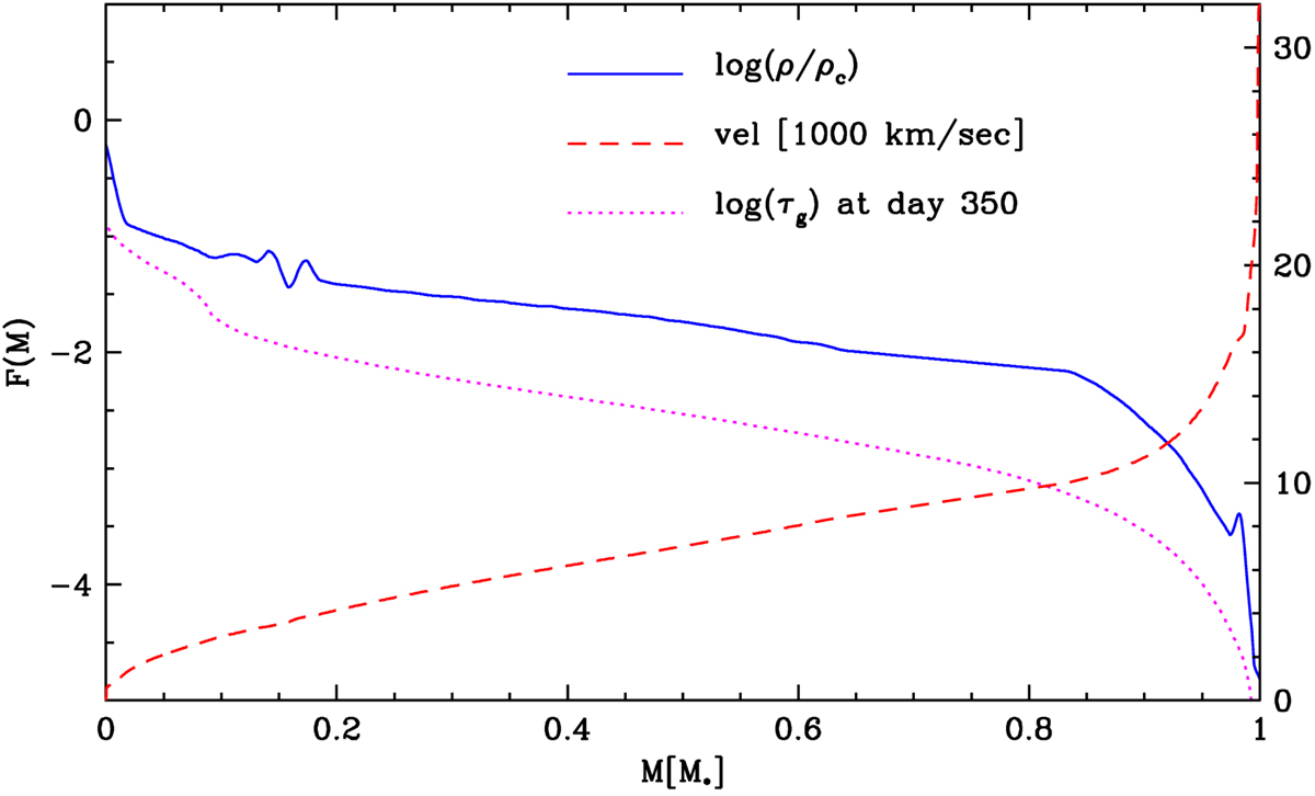
Fig. 24.

image

Structure during the phase of homologous expansion as a function of the mass coordinate in WD-masses for our subluminous model with high central density. We give the normalized density as log(ρ/ρc) (left scale), velocity (right scale), and the mean optical depth log(τγ) (left scale) in γ-rays at day 350.

Current usage metrics show cumulative count of Article Views (full-text article views including HTML views, PDF and ePub downloads, according to the available data) and Abstracts Views on Vision4Press platform.

Data correspond to usage on the plateform after 2015. The current usage metrics is available 48-96 hours after online publication and is updated daily on week days.

Initial download of the metrics may take a while.