Free Access

Fig. A.4.

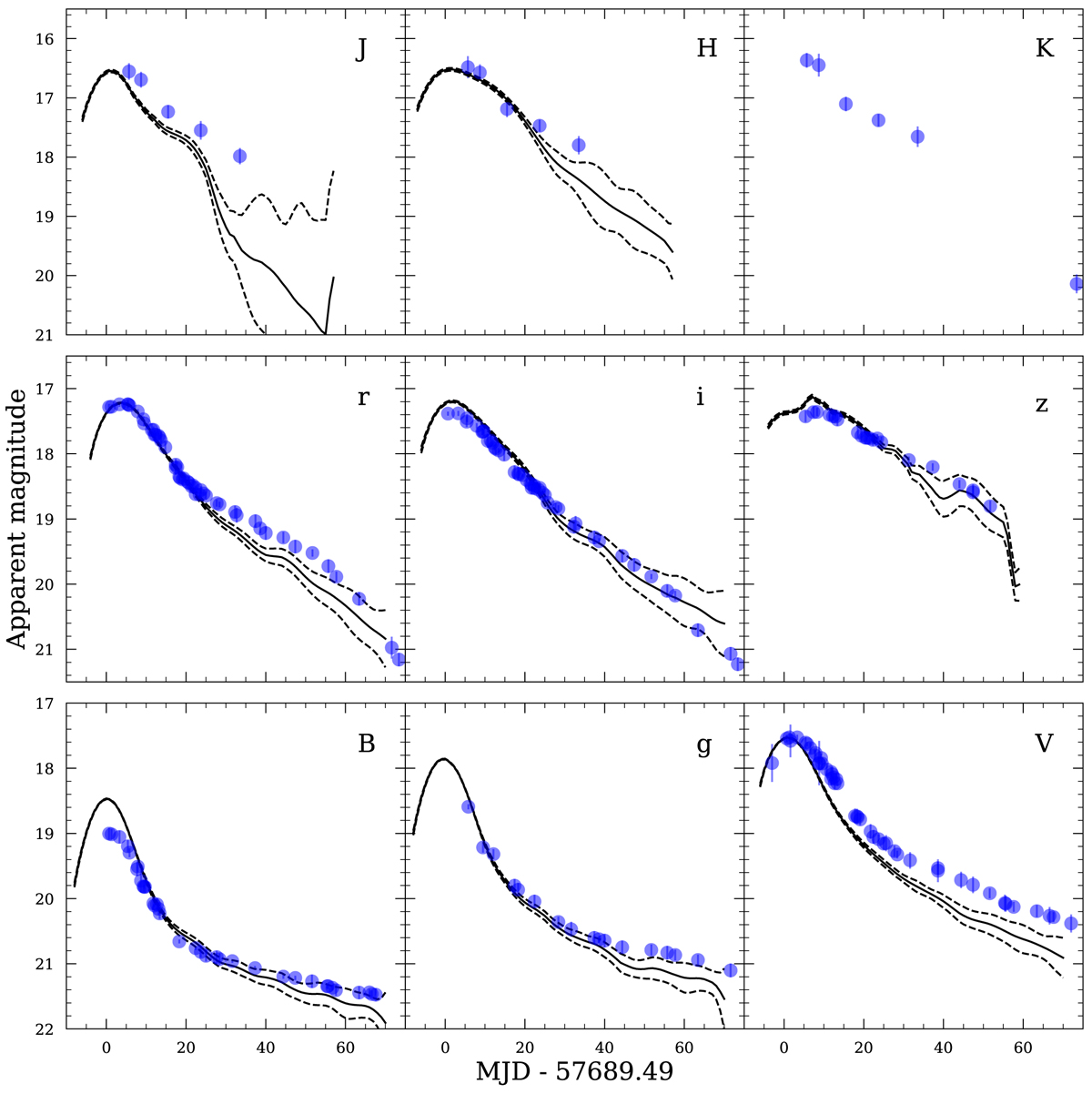
image

Multiband SN 2016hnk SNOOPY fits using a 91bg template and with a 10% contribution of a LE starting at +15 days until the end of the light curve. Fits in all band are reasonably better than those without a LE shown in Fig. 7.

Current usage metrics show cumulative count of Article Views (full-text article views including HTML views, PDF and ePub downloads, according to the available data) and Abstracts Views on Vision4Press platform.

Data correspond to usage on the plateform after 2015. The current usage metrics is available 48-96 hours after online publication and is updated daily on week days.

Initial download of the metrics may take a while.