Free Access
    
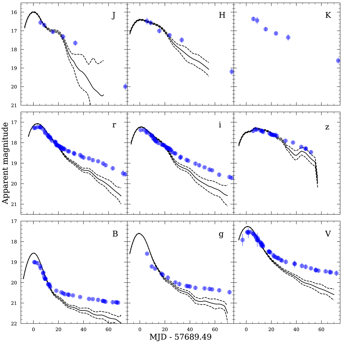
Fig. 7.
 
      Multiband light curves of SN 2016hnk (filled circles) compared with a 1991bg-like template (lines). Best-fit SNOOPY parameters are RV = 2.1 and a host-galaxy color excess of E(B − V)host = 0.55 mag. We note that beyond +20 d the template fit does not succeed in capturing the SN brightness.
Current usage metrics show cumulative count of Article Views (full-text article views including HTML views, PDF and ePub downloads, according to the available data) and Abstracts Views on Vision4Press platform.
Data correspond to usage on the plateform after 2015. The current usage metrics is available 48-96 hours after online publication and is updated daily on week days.
Initial download of the metrics may take a while.
