Free Access
    
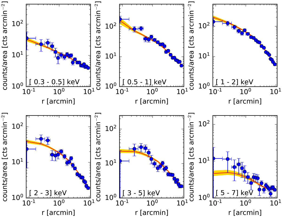
Fig. 5.
 
      CL2015 radial surface brightness profiles. Observed counts are indicated with points, whereas error bars mark  for display purposes only. The solid line is the mean fitted (physical) model (see Sect. 3.2) while the shading indicates the 68% uncertainty.
 for display purposes only. The solid line is the mean fitted (physical) model (see Sect. 3.2) while the shading indicates the 68% uncertainty.
Current usage metrics show cumulative count of Article Views (full-text article views including HTML views, PDF and ePub downloads, according to the available data) and Abstracts Views on Vision4Press platform.
Data correspond to usage on the plateform after 2015. The current usage metrics is available 48-96 hours after online publication and is updated daily on week days.
Initial download of the metrics may take a while.
