Free Access

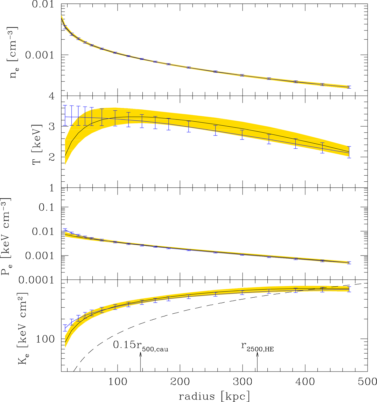
Fig. 6.

image

CL2015 thermodynamic profiles. The solid line with shading shows our physical fit, while the solid line with error bar is our descriptive fit. In both cases we plot the mean model and 68% errors. The dashed curve in the entropy panel is the Voit et al. (2005) fit to non-radiative simulations, as adapted by Pratt et al. (2010).

Current usage metrics show cumulative count of Article Views (full-text article views including HTML views, PDF and ePub downloads, according to the available data) and Abstracts Views on Vision4Press platform.

Data correspond to usage on the plateform after 2015. The current usage metrics is available 48-96 hours after online publication and is updated daily on week days.

Initial download of the metrics may take a while.