Free Access

Fig. 6

image

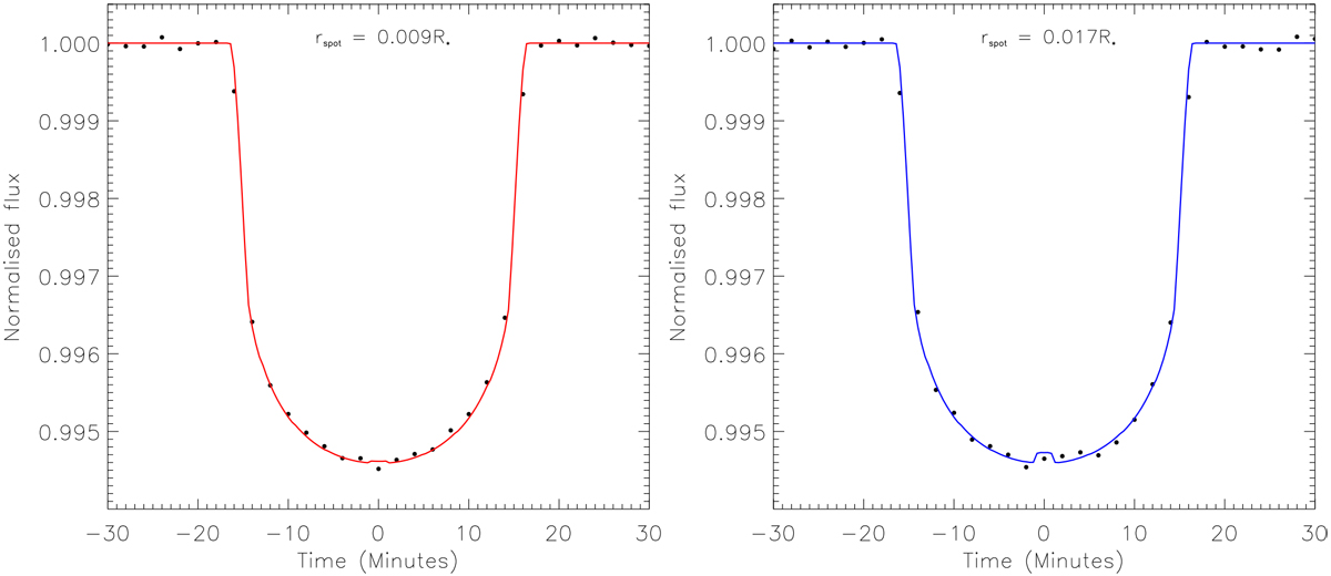
Two simulated transit light curves generated by PRISM. These were both generated using a 4.5 R Neptune-sized planet transiting a 4100 K, 0.623 R K5V dwarf star with i = 90.0° and P = 4 d. The starspotproperties are θ = 0°, ϕ = 90°, rspot = 0.009R* (red), rspot = 0.017R* (blue), and Tspot = 3700 K. The observational wavelength and rms scatter for the simulated transits were set at 785 nm and 60 ppm, respectively. The starspot anomaly becomes visible over the simulated noise when rspot is increased from 0.009R* to 0.017R*. The solid lines represents the noise-free synthetic light curves containing the starspot anomaly, while the filled circles represent the spot-free synthetic light curves (see Sect. 3) with added Gaussian noise.

Current usage metrics show cumulative count of Article Views (full-text article views including HTML views, PDF and ePub downloads, according to the available data) and Abstracts Views on Vision4Press platform.

Data correspond to usage on the plateform after 2015. The current usage metrics is available 48-96 hours after online publication and is updated daily on week days.

Initial download of the metrics may take a while.