Free Access

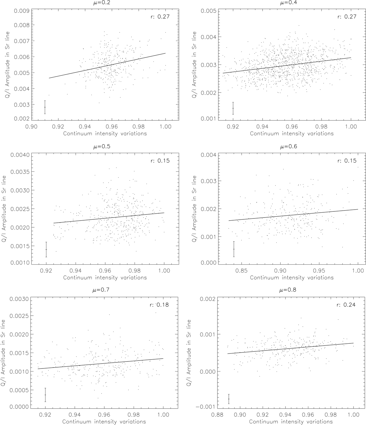
Fig. 5.

image

Scatter plot relating amplitudes of Sr I 4607 Å Q/I peak to normalized continuum intensity at different μ. The solid line represents a linear regression of the data. Its positive slope indicates larger polarization in the granulation. The Pearson correlation coefficient (r) value is annotated in each graph. The estimated error at all points is given by the error bar in the bottom left corner of each plot.

Current usage metrics show cumulative count of Article Views (full-text article views including HTML views, PDF and ePub downloads, according to the available data) and Abstracts Views on Vision4Press platform.

Data correspond to usage on the plateform after 2015. The current usage metrics is available 48-96 hours after online publication and is updated daily on week days.

Initial download of the metrics may take a while.