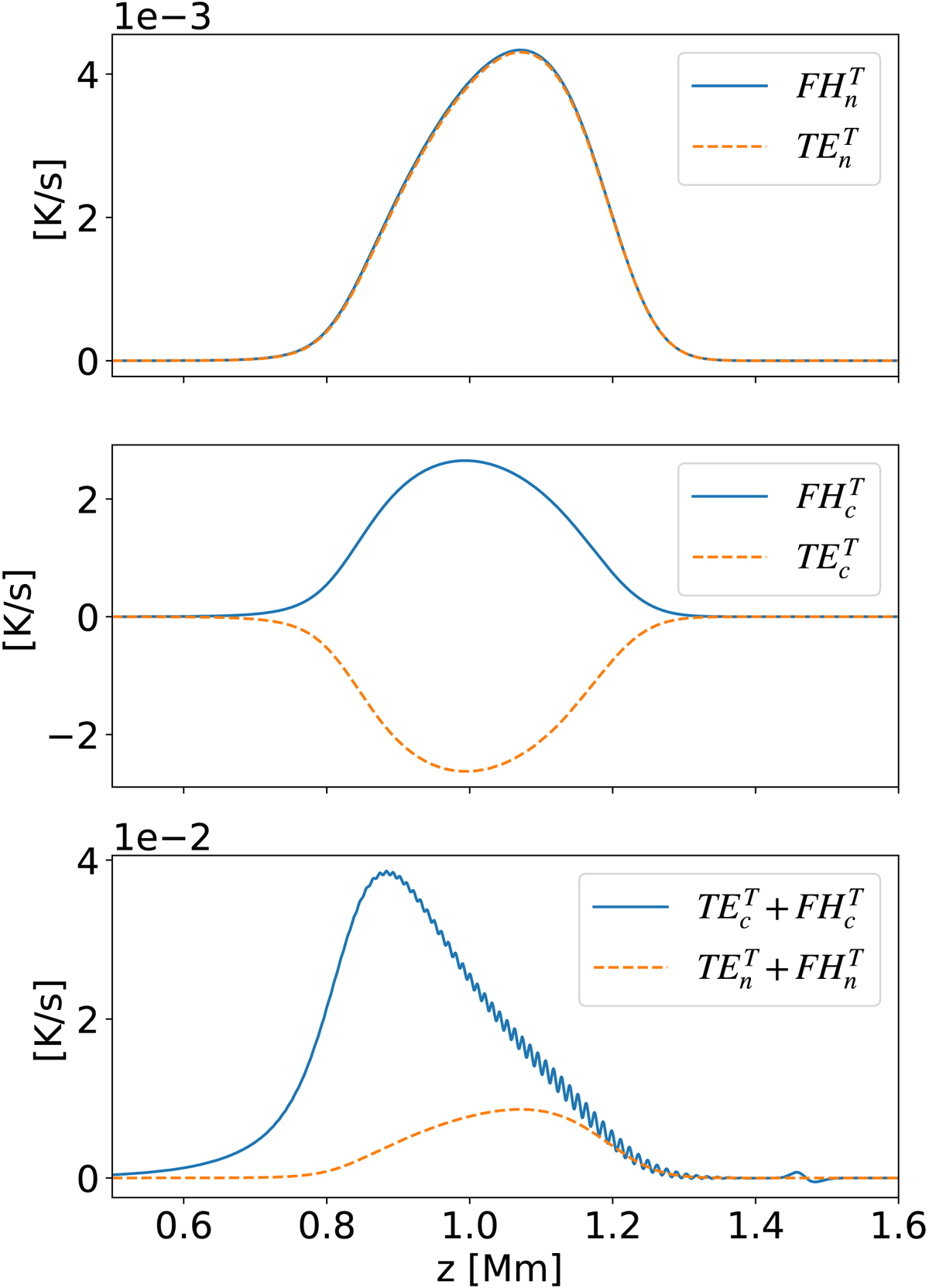
Fig. 10.
 
      Dissipative terms in temperature equations (Eq. (26)) as function of height for simulation with S magnetic field profile, wave period P = 1 s, and amplitude factor A = 2. Top panel: thermal exchange term (TE, orange line) and frictional heating term (FH, blue line) for neutrals. Middle panel: same for charges. Bottom panel: total energy exchange terms for charges (blue), neutrals (orange). We note that apparent oscillations in the bottom panel are numerical artifacts due to averaging the signal with relatively low temporal resolution.
Current usage metrics show cumulative count of Article Views (full-text article views including HTML views, PDF and ePub downloads, according to the available data) and Abstracts Views on Vision4Press platform.
Data correspond to usage on the plateform after 2015. The current usage metrics is available 48-96 hours after online publication and is updated daily on week days.
Initial download of the metrics may take a while.
