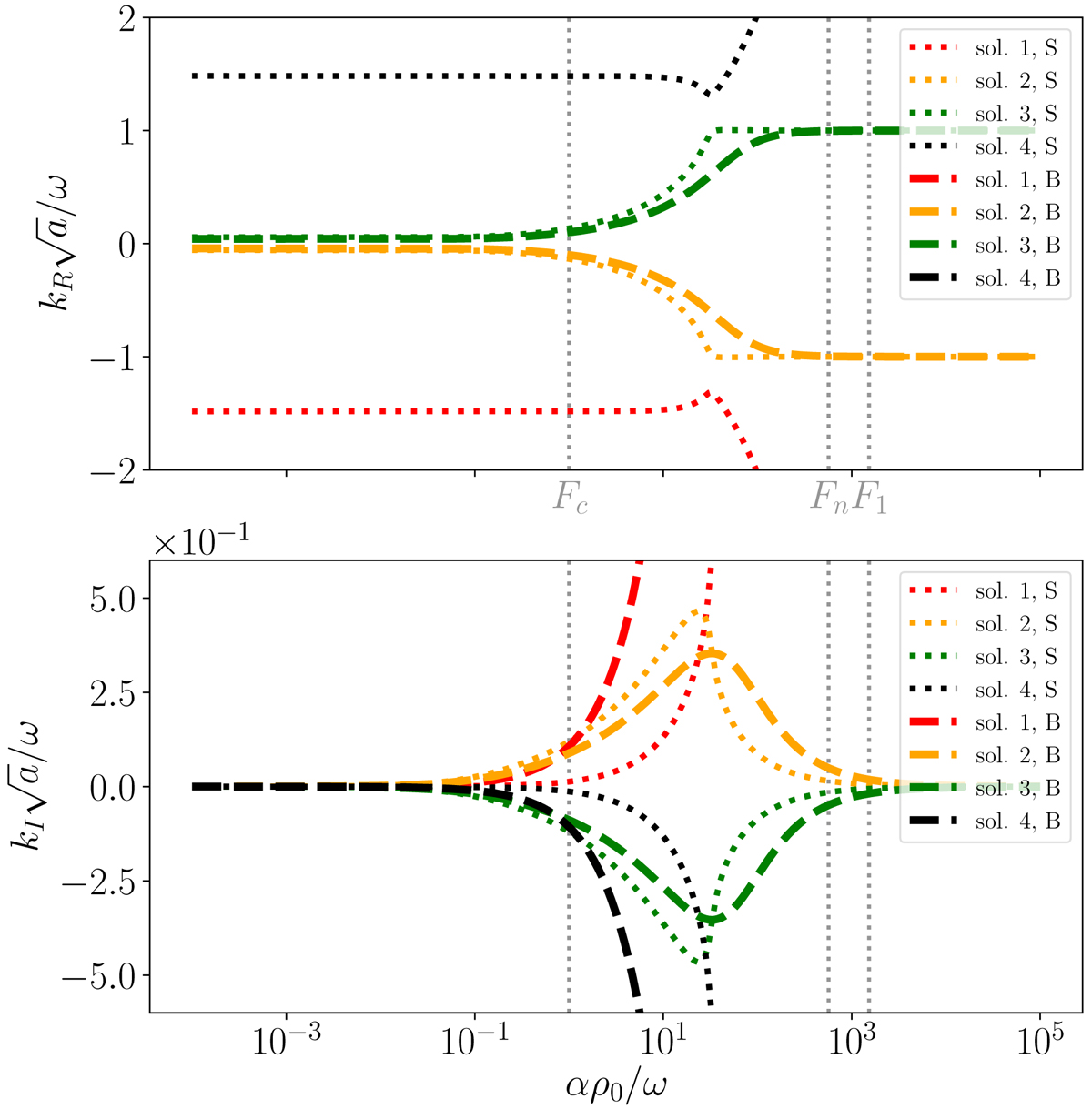
Fig. 12.
 
      Solutions of non-dimensional dispersion relation without stratification, Eq. (42). Upper and lower panels: real and imaginary part of k, scaled with  as a function of the ratio between the collisional and wave frequencies, scaled with ρ0. Solutions labeled as “S” (dashed lines) are for S magnetic field; solutions labeled “B” (solid lines) are for B magnetic field. The vertical dotted lines mark values of ω = νin (Fc), ω = νni (Fn), and ω = 2π/1 (F1) for the 1 s period wave.
 as a function of the ratio between the collisional and wave frequencies, scaled with ρ0. Solutions labeled as “S” (dashed lines) are for S magnetic field; solutions labeled “B” (solid lines) are for B magnetic field. The vertical dotted lines mark values of ω = νin (Fc), ω = νni (Fn), and ω = 2π/1 (F1) for the 1 s period wave.
Current usage metrics show cumulative count of Article Views (full-text article views including HTML views, PDF and ePub downloads, according to the available data) and Abstracts Views on Vision4Press platform.
Data correspond to usage on the plateform after 2015. The current usage metrics is available 48-96 hours after online publication and is updated daily on week days.
Initial download of the metrics may take a while.
