Free Access

Fig. 2.

image

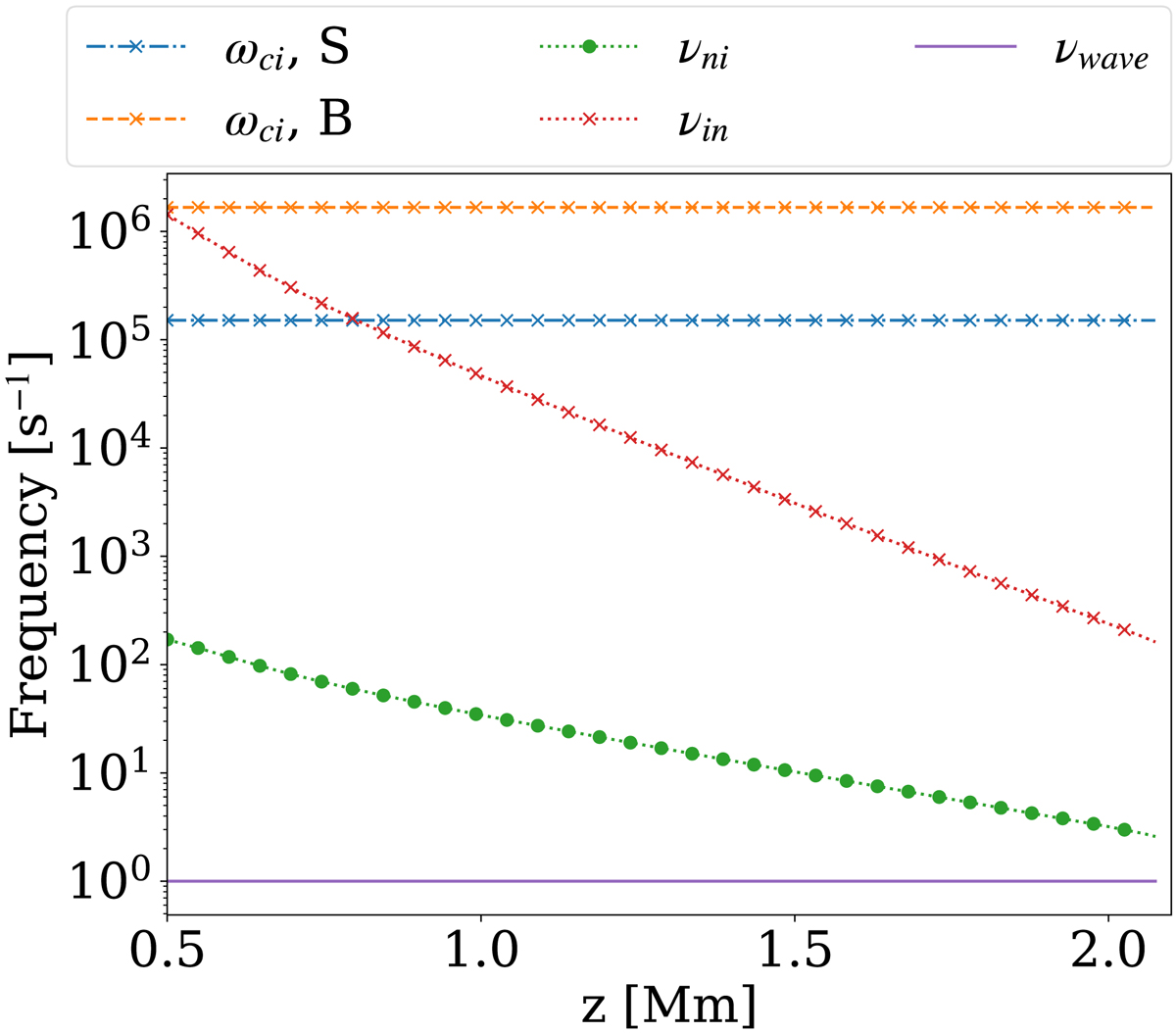
Height dependence of characteristic frequencies calculated for background atmospheric model. The blue and orange lines are ion-cyclotron frequencies corresponding to the S and B magnetic field profiles, red and green lines are ion-neutral and neutral-ion collision frequencies, and violet is the highest wave frequency used is our work, corresponding to the wave period of 1 s.

Current usage metrics show cumulative count of Article Views (full-text article views including HTML views, PDF and ePub downloads, according to the available data) and Abstracts Views on Vision4Press platform.

Data correspond to usage on the plateform after 2015. The current usage metrics is available 48-96 hours after online publication and is updated daily on week days.

Initial download of the metrics may take a while.