Open Access

Fig. B.1

image

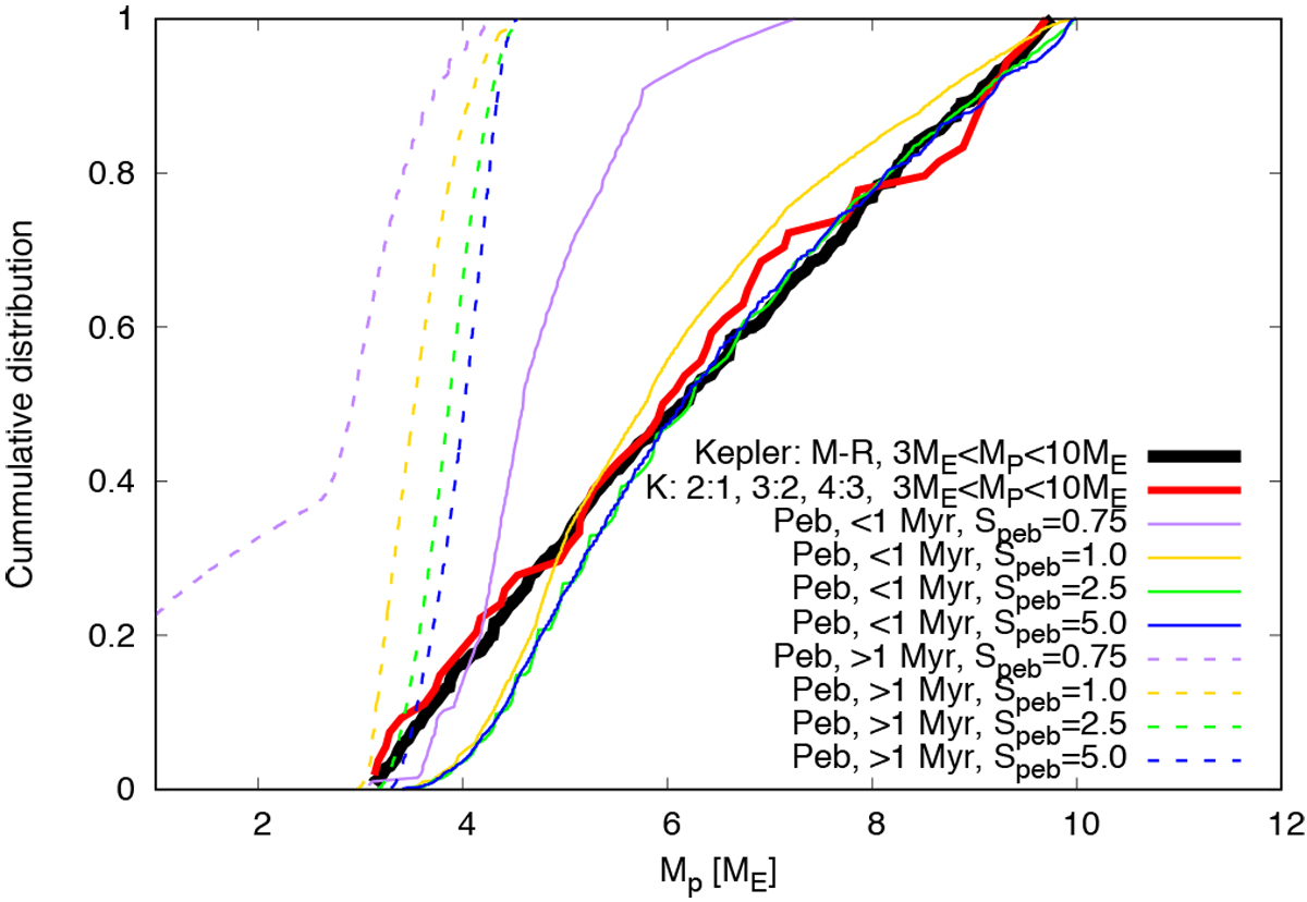
Same as Fig. 2, but for different pebble flux scalings Speb and only for the viscously heated disc. Only for very low pebble fluxes do planets not reach the pebble isolation mass any more and they thus have to additional grow through collisions to match the masses of super-Earths determined by the Kepler mission.

Current usage metrics show cumulative count of Article Views (full-text article views including HTML views, PDF and ePub downloads, according to the available data) and Abstracts Views on Vision4Press platform.

Data correspond to usage on the plateform after 2015. The current usage metrics is available 48-96 hours after online publication and is updated daily on week days.

Initial download of the metrics may take a while.