Free Access

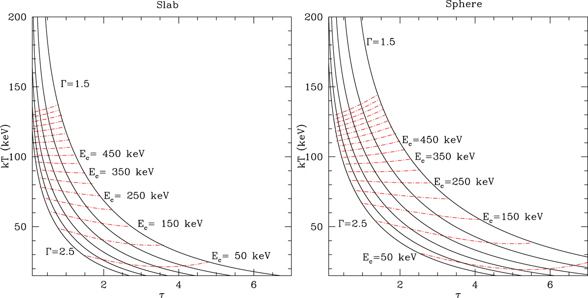
Fig. 6.

image

Grids in the physical parameters space computed using Eqs. (2)–(5). Black solid lines represent the iso-Γ curves, while iso-Ec are shown via the red solid-dashed lines. Iso-Γ curves have a 0.2 step and Γ steepens from right to left. A 50 keV step is used to represent the various high-energy cut-off iso-curves.

Current usage metrics show cumulative count of Article Views (full-text article views including HTML views, PDF and ePub downloads, according to the available data) and Abstracts Views on Vision4Press platform.

Data correspond to usage on the plateform after 2015. The current usage metrics is available 48-96 hours after online publication and is updated daily on week days.

Initial download of the metrics may take a while.