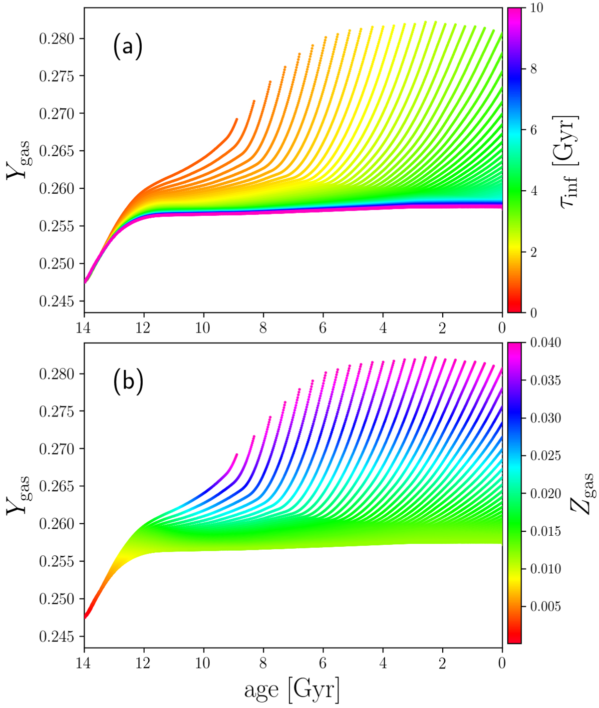
Fig. 12.
 
      Set of one-zone chemical evolution models assuming the same IMF, stellar lifetimes, and stellar nucleosynthetic yields as in our cosmological hydrodynamical simulation. In the chemical evolution models, we assume SFE = 2 Gyr−1, no galactic winds, and we vary the infall timescale from τ = 1 to 10 Gyr, with a step of 0.1 Gyr, to understand whether the inside-out growth of galaxies has an impact on the predicted He abundances. In panel a, the colour coding represents the infall timescale, whereas in panel b the colour coding represents the gas-phase metallicity.
Current usage metrics show cumulative count of Article Views (full-text article views including HTML views, PDF and ePub downloads, according to the available data) and Abstracts Views on Vision4Press platform.
Data correspond to usage on the plateform after 2015. The current usage metrics is available 48-96 hours after online publication and is updated daily on week days.
Initial download of the metrics may take a while.
