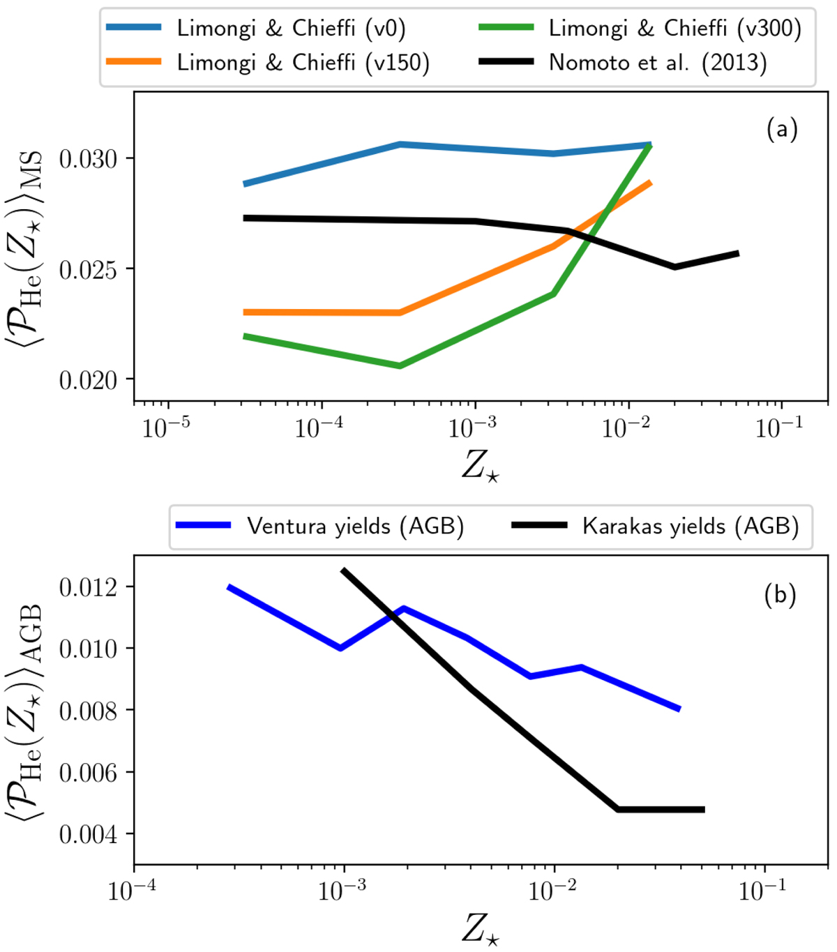
Fig. 2.
 
      (a) Average IMF-weighted stellar yield of He from massive stars as a function of the initial stellar metallicity, as predicted by the stellar models of Nomoto et al. (2013, black solid line) and Limongi & Chieffi (2018) for different stellar rotational velocities; in particular, the blue, green, and orange lines correspond to the Limongi & Chieffi (2018) stellar models with vrot = 0, 150, and 300 km s−1, respectively. (b) Average IMF-weighted stellar yield of He from AGB stars as a function of initial stellar metallicity, as predicted by the stellar models of Karakas (2010, black solid line) and Ventura et al. (2013, blue solid line).
Current usage metrics show cumulative count of Article Views (full-text article views including HTML views, PDF and ePub downloads, according to the available data) and Abstracts Views on Vision4Press platform.
Data correspond to usage on the plateform after 2015. The current usage metrics is available 48-96 hours after online publication and is updated daily on week days.
Initial download of the metrics may take a while.
