Press Release
Free Access

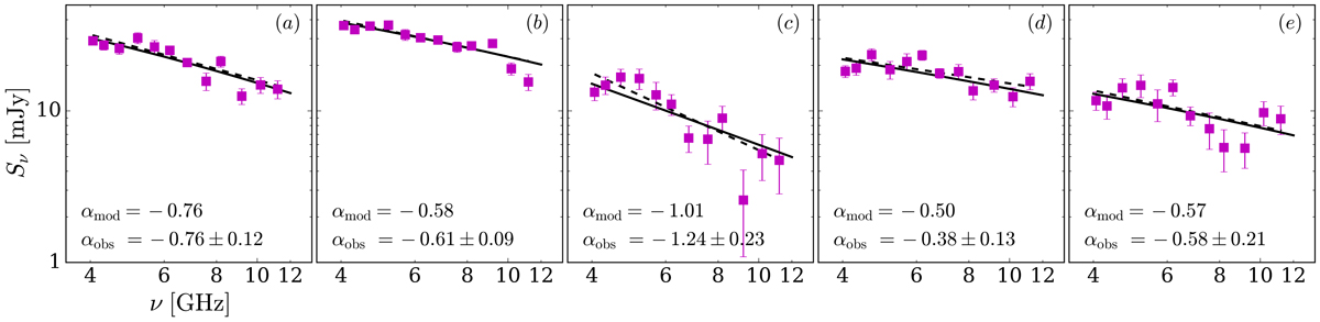
Fig. 5.

image

Observed flux densities (magenta squares) and their best fits (dashed black lines) for five positions in DS as function of frequency (panels ae; see Fig. 5 in Meng et al. 2019). Solid black lines show the model results (see Table 1 for a complete overview of the model parameters). Each subplot also displays the modelled and observed spectral indexes, αmod and αobs, respectively.

Current usage metrics show cumulative count of Article Views (full-text article views including HTML views, PDF and ePub downloads, according to the available data) and Abstracts Views on Vision4Press platform.

Data correspond to usage on the plateform after 2015. The current usage metrics is available 48-96 hours after online publication and is updated daily on week days.

Initial download of the metrics may take a while.