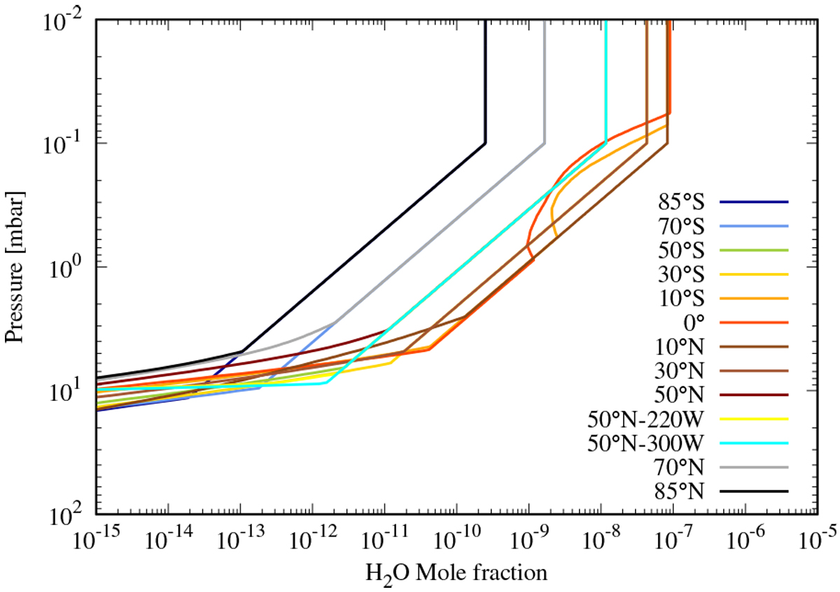
Fig. 15
 
      H2O vertical profiles of the PACS fit model of Fig. 16, in which the latitudinal distribution is a Gaussian centered around the equator with σ = 25°, and yeq = 9 × 10−8. The effect of the temperature increases in the B1 and B2 beacons is accounted for when computing the condensation level, and a positive gradient is added for pressures higher than pgradient = 0.1 mbar and down to the condensation level, with a slope n = log (y)∕log(p) = 2. The value of yeq applies to p < pgradient. Condensation between 0.1 and 1 mbar occurs in the equatorial region as a result of a local temperature minimum caused by the quasi-periodic oscillation (see Fig. 4). The corresponding line area and residual maps are shown in Fig. 16.
Current usage metrics show cumulative count of Article Views (full-text article views including HTML views, PDF and ePub downloads, according to the available data) and Abstracts Views on Vision4Press platform.
Data correspond to usage on the plateform after 2015. The current usage metrics is available 48-96 hours after online publication and is updated daily on week days.
Initial download of the metrics may take a while.
