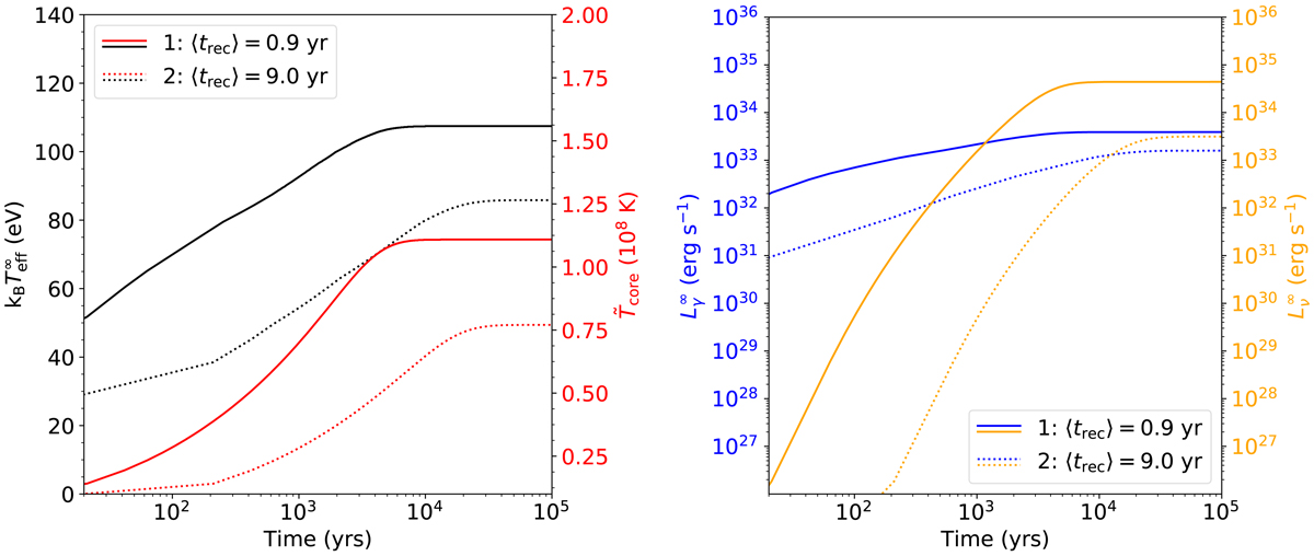
Fig. A.1.
 
      Results of models 1 and 2. Left: evolution of the effective temperature (black curves) and core temperature (red curves) for model 1 (solid curves; our basic model) and model 2 (dotted curves). In the basic model (model 1), the outbursts have an average recurrence time of 0.9 yr, while in model 2 this is 9.0 yr. All other parameters of the two models are the same (including the duration of outbursts). Right: evolution of the photon luminosity (blue) and neutrino luminosity (orange) in model 1 (solid curves) and model 2 (dotted curves).
Current usage metrics show cumulative count of Article Views (full-text article views including HTML views, PDF and ePub downloads, according to the available data) and Abstracts Views on Vision4Press platform.
Data correspond to usage on the plateform after 2015. The current usage metrics is available 48-96 hours after online publication and is updated daily on week days.
Initial download of the metrics may take a while.
