Free Access
    
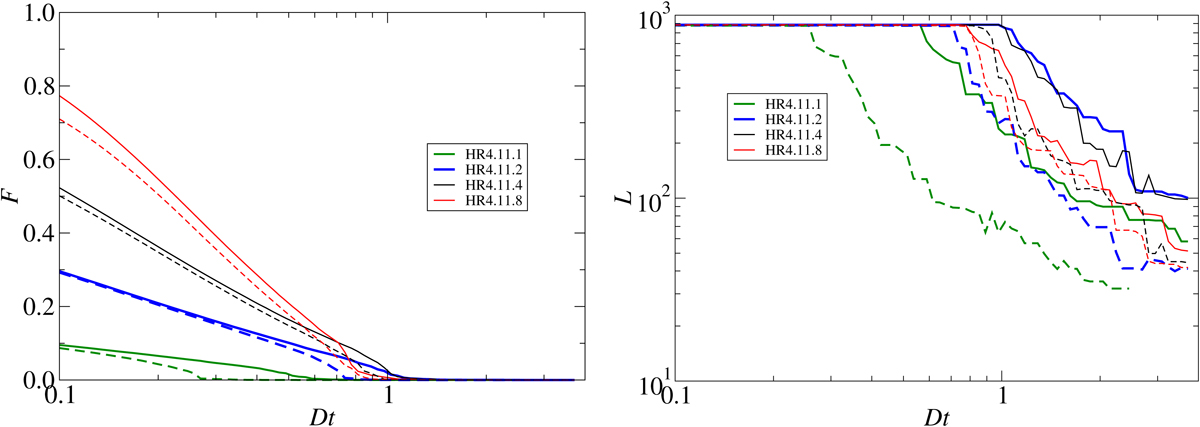
Fig. 11.
 
      Percolation function tests to check the influence of redshift space distortions. Left panel: filling factor functions and the right panel length functions of HR4.11 models. Solid lines are calculated for real space, dashed lines for redshift space.
Current usage metrics show cumulative count of Article Views (full-text article views including HTML views, PDF and ePub downloads, according to the available data) and Abstracts Views on Vision4Press platform.
Data correspond to usage on the plateform after 2015. The current usage metrics is available 48-96 hours after online publication and is updated daily on week days.
Initial download of the metrics may take a while.
