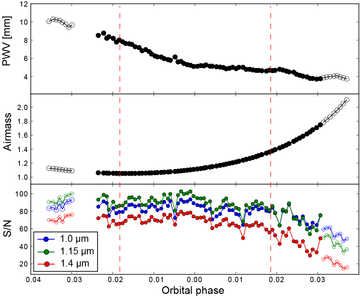
Fig. 1
 
      Column depth of precipitable water vapor in the Earth’s atmosphere (top panel), airmass (middle panel), and mean S/N of the raw spectra for the three covered H2O bands (bottom panel) as a function of the orbital phase. Open circles represent spectra not included in the analysis (see text). The transit occurred at the orbital phases between the vertical dashed lines.
Current usage metrics show cumulative count of Article Views (full-text article views including HTML views, PDF and ePub downloads, according to the available data) and Abstracts Views on Vision4Press platform.
Data correspond to usage on the plateform after 2015. The current usage metrics is available 48-96 hours after online publication and is updated daily on week days.
Initial download of the metrics may take a while.
