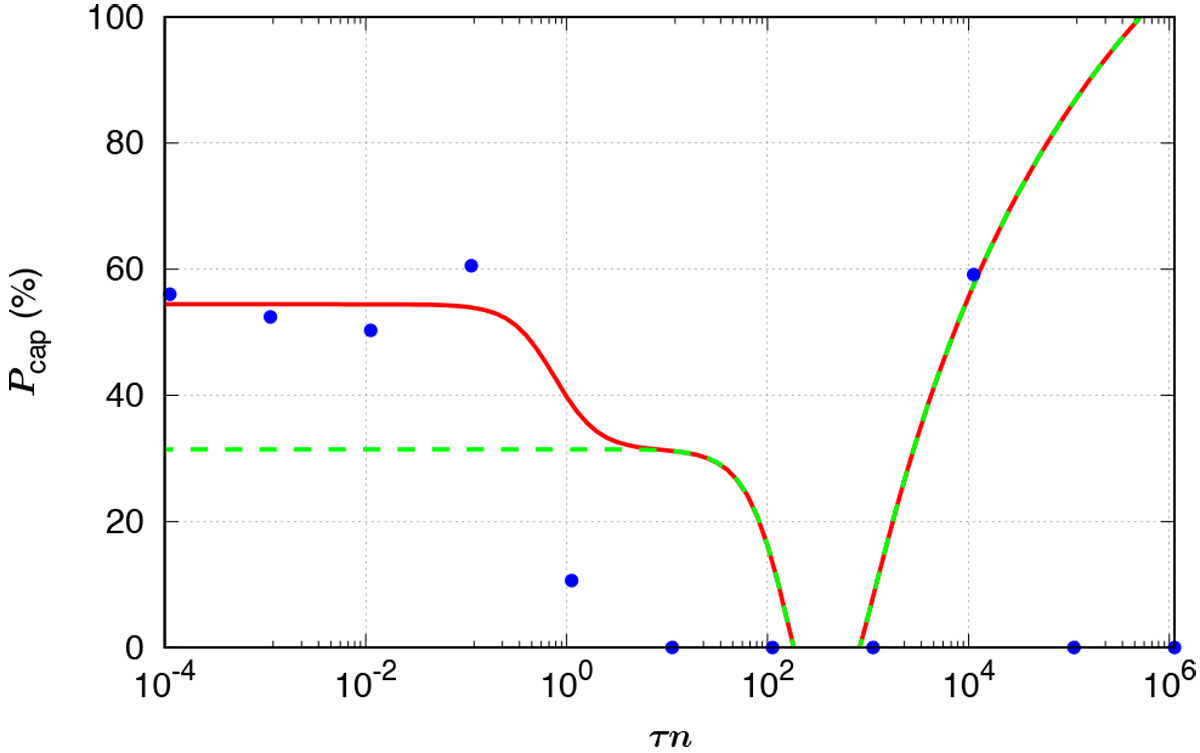
Fig. 7
 
      Capture probabilities for the super-synchronous resonance νr = n + ν∕2 for the outer planet in the KOI-1599 system with |Z0| = 10−7. The solid line gives the theoretical approximation given by expression (66) with all terms from Table 2, while the dashed line is obtained with only the first three dominating terms. The dots give the results of numerical simulations with Eqs. (1) and (15). We run 180 initial conditions with θ0 differing by one degree.
Current usage metrics show cumulative count of Article Views (full-text article views including HTML views, PDF and ePub downloads, according to the available data) and Abstracts Views on Vision4Press platform.
Data correspond to usage on the plateform after 2015. The current usage metrics is available 48-96 hours after online publication and is updated daily on week days.
Initial download of the metrics may take a while.
