Free Access

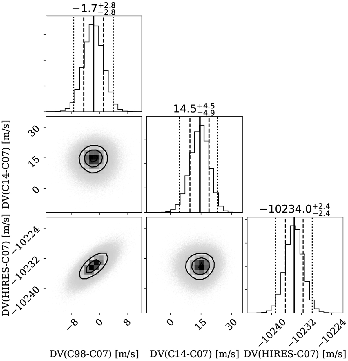
Fig. B.1

image

Marginalized 1D and 2D posterior distributions of the orbital global adjustment combining radial velocities and direct imaging data. Shown are the offsets between the different radial velocity instruments. C98 stands for the first version of the CORALIE instrument, C07 for its first update in 2007, and C14 for the last one in 2014.

Current usage metrics show cumulative count of Article Views (full-text article views including HTML views, PDF and ePub downloads, according to the available data) and Abstracts Views on Vision4Press platform.

Data correspond to usage on the plateform after 2015. The current usage metrics is available 48-96 hours after online publication and is updated daily on week days.

Initial download of the metrics may take a while.