Free Access

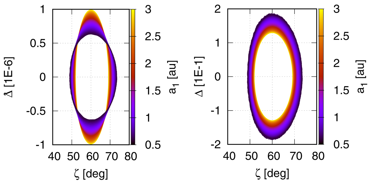
Fig. 5.

image

Evolution of a trajectory in the (,ζ) plane (left) and (Δ,ζ) plane (right), of a m1 = m2 = 10−4m0 pair of planet as their semi-major axis (colour code) decreases under the influence of constant torques applied on each planet.

Current usage metrics show cumulative count of Article Views (full-text article views including HTML views, PDF and ePub downloads, according to the available data) and Abstracts Views on Vision4Press platform.

Data correspond to usage on the plateform after 2015. The current usage metrics is available 48-96 hours after online publication and is updated daily on week days.

Initial download of the metrics may take a while.