Free Access

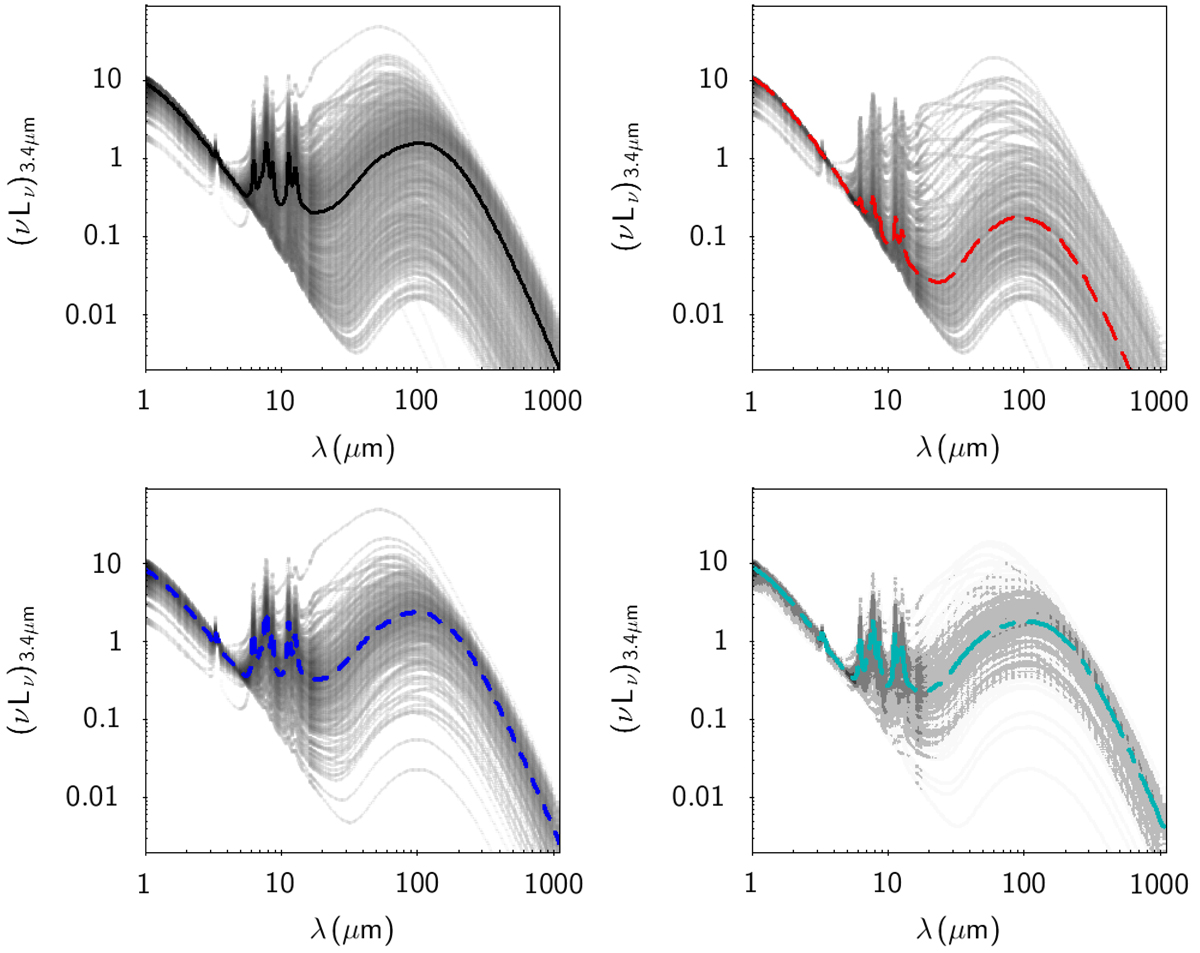
Fig. 1.

image

Upper left panel: median model dust-SEDs for individual galaxies (grey lines). The black line represents the median model dust-SED of the whole (753 galaxies) sample. All dust-SEDs are normalised to the 3.4 μm luminosity. Upper right panel: same as upper left panel, but for individual ETGs. Left lower panel: same as upper left panel, but for individual LTGs. Right lower panel: same as upper left panel, but for individual Irs.

Current usage metrics show cumulative count of Article Views (full-text article views including HTML views, PDF and ePub downloads, according to the available data) and Abstracts Views on Vision4Press platform.

Data correspond to usage on the plateform after 2015. The current usage metrics is available 48-96 hours after online publication and is updated daily on week days.

Initial download of the metrics may take a while.