Free Access

Fig. 2.

image

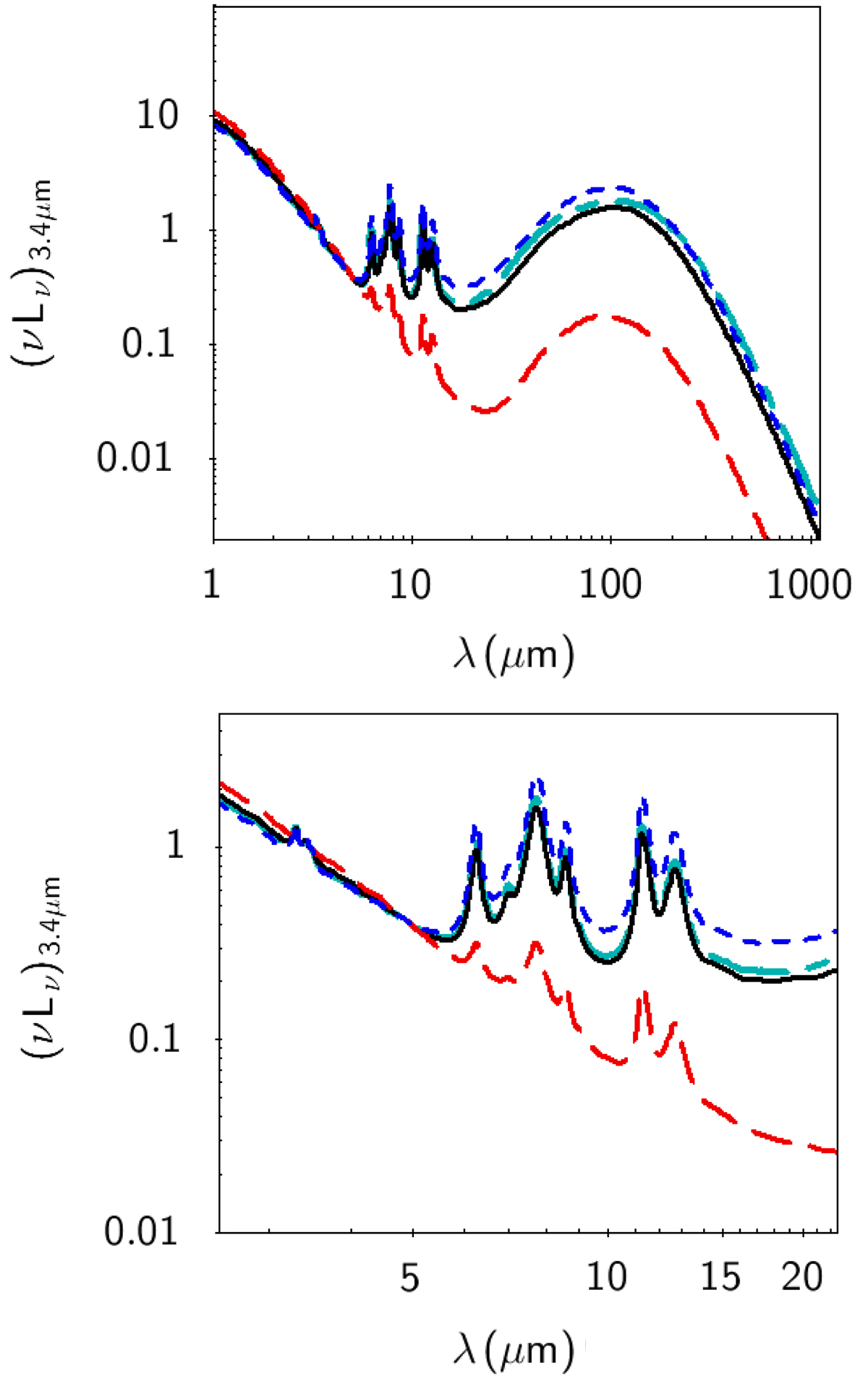
Upper panel: median model dust-SED for the 753 galaxies (black solid line). The median model dust-SED separately for the ETGs, LTGs, and Irs is also shown with the dashed red, dashed blue, and dashed light-blue lines. All model dust-SEDs are normalised to the 3.4 μm luminosity. Lower panel: exact same as in the upper panel, but zooming into the mid-IR part of the spectrum, from 2.5 μm to 22.5 μm.

Current usage metrics show cumulative count of Article Views (full-text article views including HTML views, PDF and ePub downloads, according to the available data) and Abstracts Views on Vision4Press platform.

Data correspond to usage on the plateform after 2015. The current usage metrics is available 48-96 hours after online publication and is updated daily on week days.

Initial download of the metrics may take a while.