Open Access

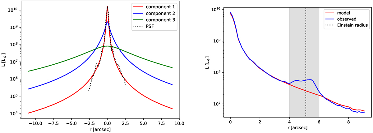
Fig. 4.

image

Left: different components of the chameleon profiles shown in units of solar luminosity in red (“inner”), blue (“medium”), and green (“outer” component), respectively. The total light observed from the Cosmic Horseshoe lens galaxy in the HST filter F160W is described by the sum of all three components. To compare the width of the components, scaled PSF is plotted with a black dotted line. Right: radially averaged total light of the model (red) and observed (blue) in solar luminosities, plotted as a function of radius. The Einstein radius is indicated with the black dotted line and the vertical gray band marks the range with substantial light from the lensed arcs.

Current usage metrics show cumulative count of Article Views (full-text article views including HTML views, PDF and ePub downloads, according to the available data) and Abstracts Views on Vision4Press platform.

Data correspond to usage on the plateform after 2015. The current usage metrics is available 48-96 hours after online publication and is updated daily on week days.

Initial download of the metrics may take a while.