Open Access

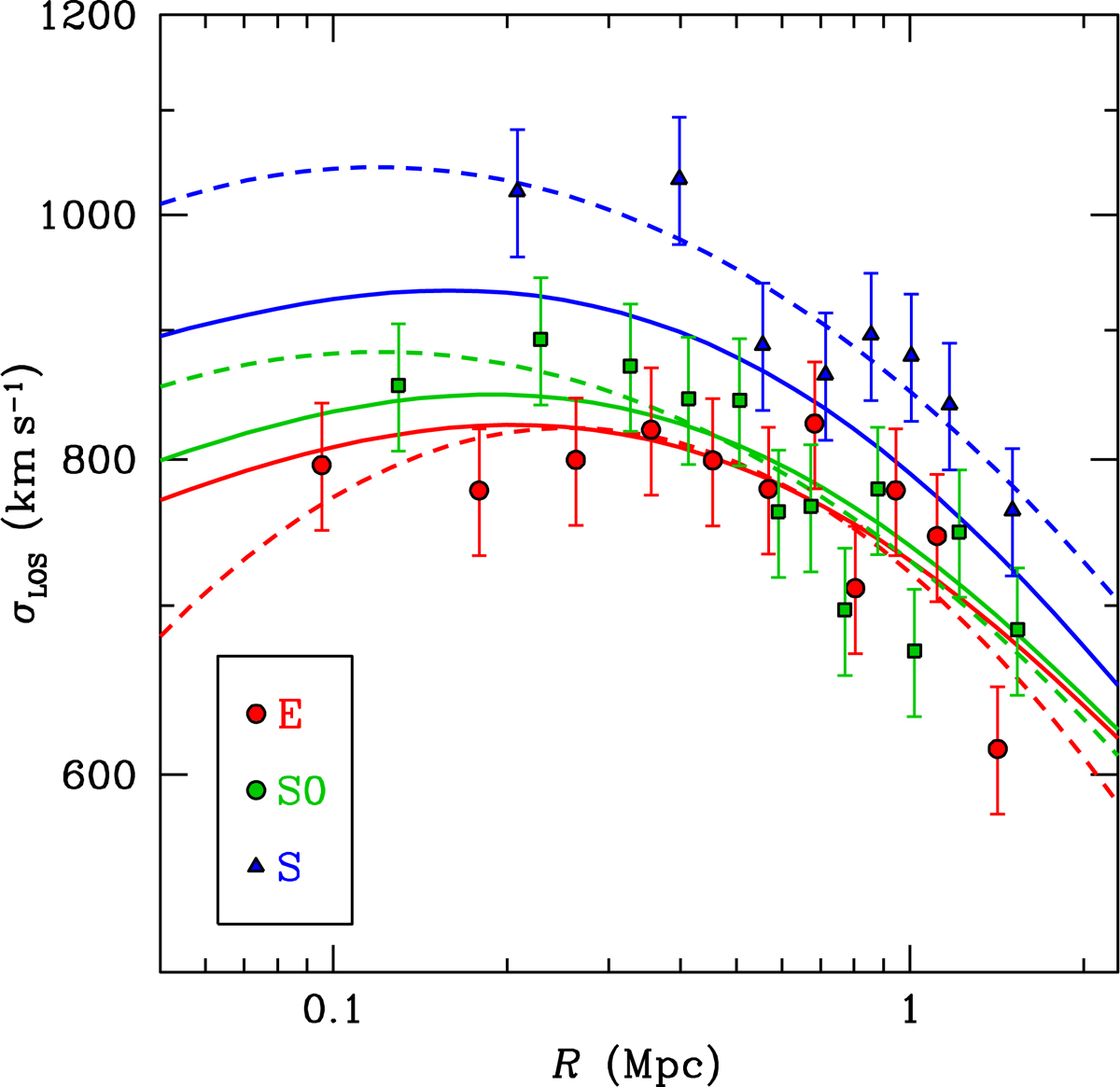
Fig. 2.

image

Line-of-sight velocity dispersion profiles for elliptical (red), lenticular (green), and spiral (blue) galaxies for sigv-stacked pseudo-cluster. Radial bins of ≃150 galaxies were used. Error bars are (expected for Gaussian LOS velocity distributions). The solid curves are predictions assuming the tracer number density profiles given in Paper I, isotropic velocities, for an NFW total mass profile of concentration c200 = 4, while the dashed curves are second-degree polynomial fits in log-log space.

Current usage metrics show cumulative count of Article Views (full-text article views including HTML views, PDF and ePub downloads, according to the available data) and Abstracts Views on Vision4Press platform.

Data correspond to usage on the plateform after 2015. The current usage metrics is available 48-96 hours after online publication and is updated daily on week days.

Initial download of the metrics may take a while.