Open Access

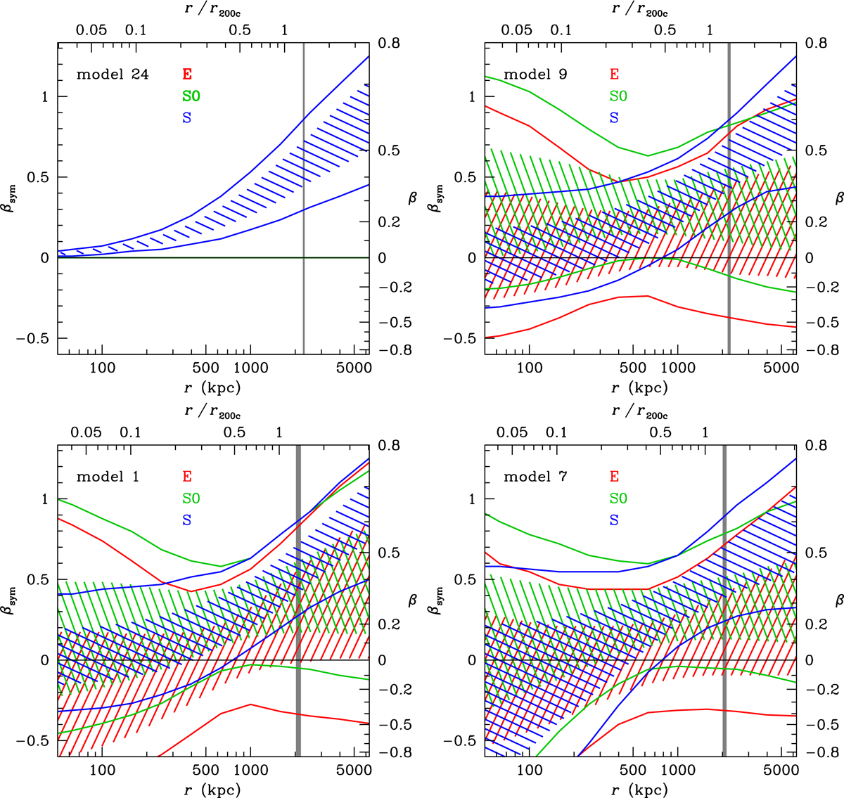
Fig. 8.

image

Outer (r = r200) vs. inner (r = 0.03 r200) velocity anisotropy (Eq. (19)) from MAMPOSSt for three morphological types and for model 1 (gNFW-T anisotropy with TAND), model 7 (same as model 1, but without TAND), 9 (NFW-T-TAND), and model 12 (same as model 9, but without TAND) for sigv-stacked pseudo-cluster. The contours are 68% and 95% confidence (with pixel resolution Δβsym = 0.03 and smoothed with a Gaussian kernel of σ = 2 pixels).

Current usage metrics show cumulative count of Article Views (full-text article views including HTML views, PDF and ePub downloads, according to the available data) and Abstracts Views on Vision4Press platform.

Data correspond to usage on the plateform after 2015. The current usage metrics is available 48-96 hours after online publication and is updated daily on week days.

Initial download of the metrics may take a while.