Open Access

This article has an erratum: [https://doi.org/10.1051/0004-6361/201935093e]


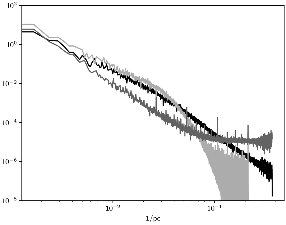
Fig. 15

image

Empirical spatial correlation power spectra of the reconstructed mean dust density in parsecs. The black line was computed from our reconstruction, the dark-gray line was computed from the reconstruction of Lallement et al. (2018), and the light-gray line was computed from the reconstruction of Green et al. (2018). For the reconstruction of Green et al. (2018), unspecified voxel values on sightlines that lacked data were replaced with a zero.

Current usage metrics show cumulative count of Article Views (full-text article views including HTML views, PDF and ePub downloads, according to the available data) and Abstracts Views on Vision4Press platform.

Data correspond to usage on the plateform after 2015. The current usage metrics is available 48-96 hours after online publication and is updated daily on week days.

Initial download of the metrics may take a while.