Open Access

This article has an erratum: [https://doi.org/10.1051/0004-6361/201935093e]


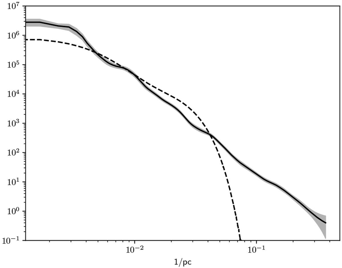
Fig. 7

image

Log-normal process spatial correlation power spectrum inferred in our reconstruction (solid line) as well as the imposed power spectrum of Lallement et al. (2018) (dashed line). The shaded area around the solid line indicates 1σ error bounds. The y-axis is in units of pc3. The functions can be interpreted as the a priori expected value of , where V is the volume on which the density ρ is defined, and F is the Fourier transform. The region between 0.0008/pc and 0.426/pc is almost power-law-like with a slope of 3.1, the spectral index of the power law.

Current usage metrics show cumulative count of Article Views (full-text article views including HTML views, PDF and ePub downloads, according to the available data) and Abstracts Views on Vision4Press platform.

Data correspond to usage on the plateform after 2015. The current usage metrics is available 48-96 hours after online publication and is updated daily on week days.

Initial download of the metrics may take a while.