Free Access

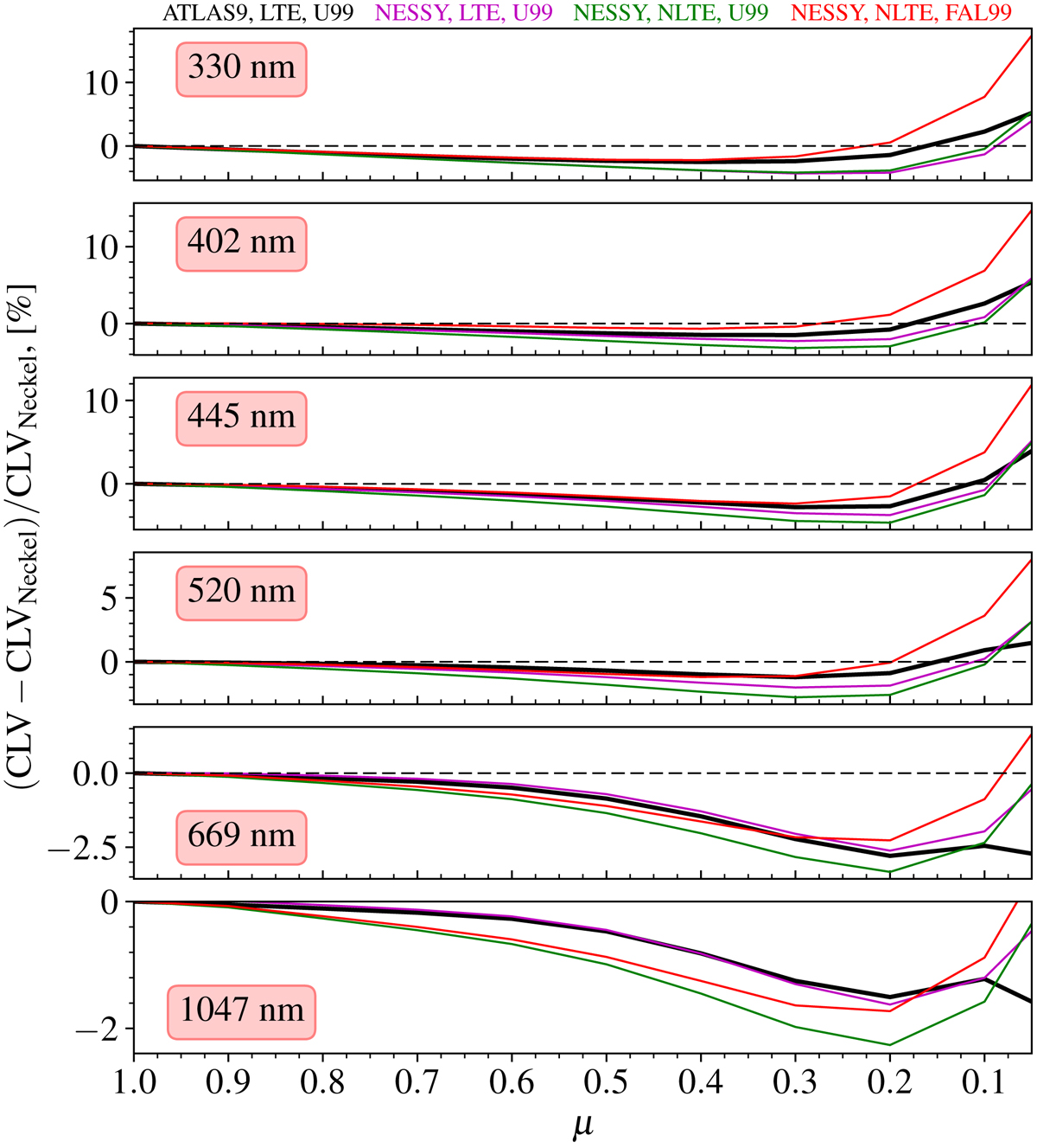
Fig. 3.

image

Relative deviations of ATLAS9 and NESSY CLV from CLV fits by Neckel & Labs (1994). The wavelength selection is the same as in Fig. 2 of U99. NESSY CLV are binned to the ATLAS9 spectral grid. The x-axis is the cosine of the heliospheric angle.

Current usage metrics show cumulative count of Article Views (full-text article views including HTML views, PDF and ePub downloads, according to the available data) and Abstracts Views on Vision4Press platform.

Data correspond to usage on the plateform after 2015. The current usage metrics is available 48-96 hours after online publication and is updated daily on week days.

Initial download of the metrics may take a while.