Free Access

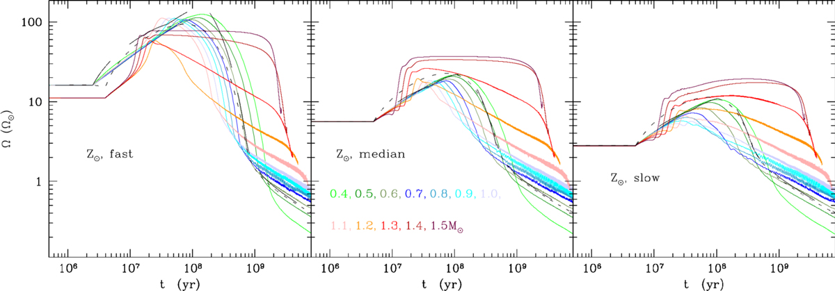
Fig. 6.

image

Evolution of surface angular velocity as a function of time at Z = Z for fast (left), median (centre) and slow (right) rotators from 0.4 M (neon green) up to 1.5 M (burgundy), the 0.2 and 0.3 M are shown in black short- and long-dashed lines, respectively.

Current usage metrics show cumulative count of Article Views (full-text article views including HTML views, PDF and ePub downloads, according to the available data) and Abstracts Views on Vision4Press platform.

Data correspond to usage on the plateform after 2015. The current usage metrics is available 48-96 hours after online publication and is updated daily on week days.

Initial download of the metrics may take a while.