Free Access

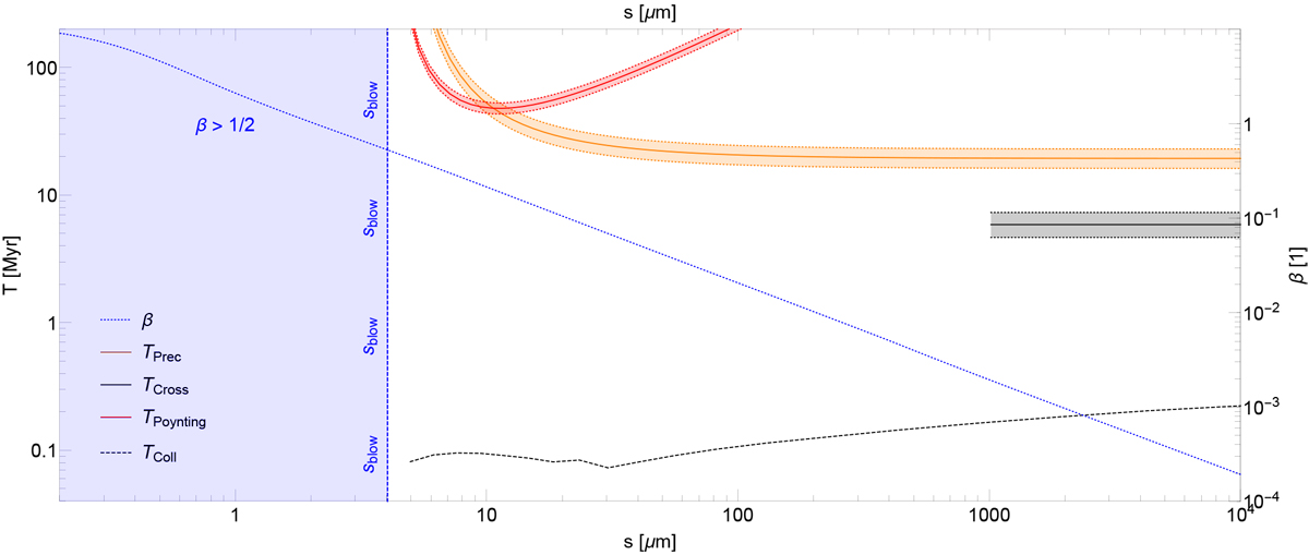
Fig. 4

image

Relevant timescales for fragments created by collisions inside a debris disk (a = 95 105 au; mDust = 4.05 × 1025g) around an A4V-star (M = 1.92 M) with a planet at ap = 20 au with an eccentricity of ep = 0.6 and a mass of mp = 2.5 MJ. The β value of the particles (blue, dotted), and the blowout limit (blue zone on the left) are shown. The precession timescale (orange; top), the crossing timescale (black; middle; where applicable), and the Poynting–Robertson timescale (red; crossing the top and the middle plot) are derived analytically. The collision timescale (black, dashed) was taken directly from the numerical results of the simulation. When possible, a range (shaded area) of timescales for a = 95 105 au is given in addition to the value at a = 100 au (solid line).

Current usage metrics show cumulative count of Article Views (full-text article views including HTML views, PDF and ePub downloads, according to the available data) and Abstracts Views on Vision4Press platform.

Data correspond to usage on the plateform after 2015. The current usage metrics is available 48-96 hours after online publication and is updated daily on week days.

Initial download of the metrics may take a while.