Open Access

Fig. 8.

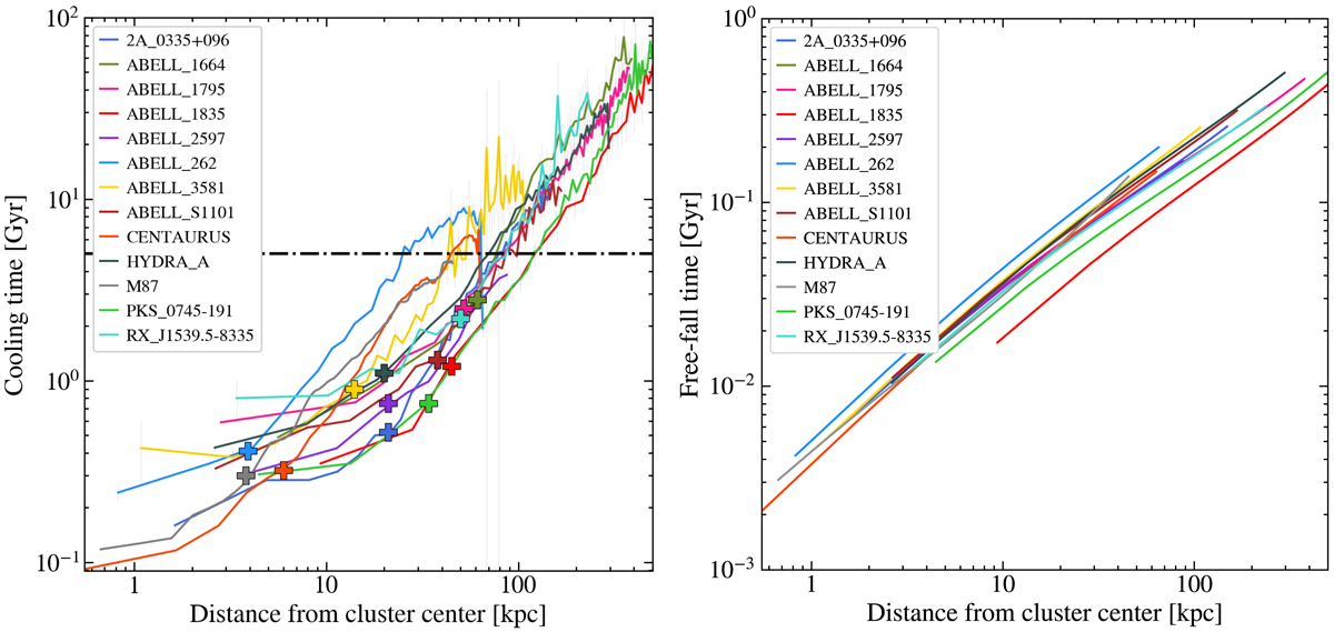
image

Left panel: deprojected cooling time profiles, tcool. The dotted black horizontal lines in the left panel indicate a constant cooling time of 5 × 109 yr, the observation-based upper-limit for the onset of nebular emission or/and recent star formation (Cavagnolo et al. 2008; Rafferty et al. 2008). The color of each line corresponds to a specific source as given in the legend in the upper left corner. The radial extent of the filaments is indicated with crosses and color-coded for each source. Right panel: free-fall time vs. radius for the different sources of our sample. As shown by McNamara et al. (2016), Hogan et al. (2017) and Pulido et al. (2018), the free-fall time profiles in the central region of interest lie on top of each other while the cooling times do not, leading to the conclusion that the driving parameter in the tcool/tff ratio is the cooling time.

Current usage metrics show cumulative count of Article Views (full-text article views including HTML views, PDF and ePub downloads, according to the available data) and Abstracts Views on Vision4Press platform.

Data correspond to usage on the plateform after 2015. The current usage metrics is available 48-96 hours after online publication and is updated daily on week days.

Initial download of the metrics may take a while.