Open Access

Fig. 9.

image

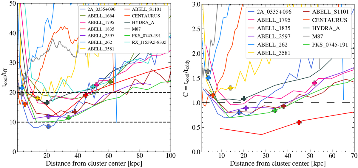
Left panel: ratio of the cooling time to free-fall time, tcool/tff, as a function of radius. The corresponding source for each line is colored according to the legend in the upper left of the panel. We highlighted tcool/tff = 10 and 20 with a horizontal dashed line, which appears to be the approximate threshold for the onset of thermal instabilities (e.g., Li et al. 2015). Right panel: ratio of the cooling time to the eddy time as a function of radius. We highlight the C = tcool/teddy = σv/vcool = 1 with a horizontal dashed line, which shows the extent of the condensation region and can then be used to assess the multiphase nature of the gas in the BCG systems. We indicated the maximum radial extent of the filaments with colored crosses for each source (see legend in the upper-left corner).

Current usage metrics show cumulative count of Article Views (full-text article views including HTML views, PDF and ePub downloads, according to the available data) and Abstracts Views on Vision4Press platform.

Data correspond to usage on the plateform after 2015. The current usage metrics is available 48-96 hours after online publication and is updated daily on week days.

Initial download of the metrics may take a while.