Open Access

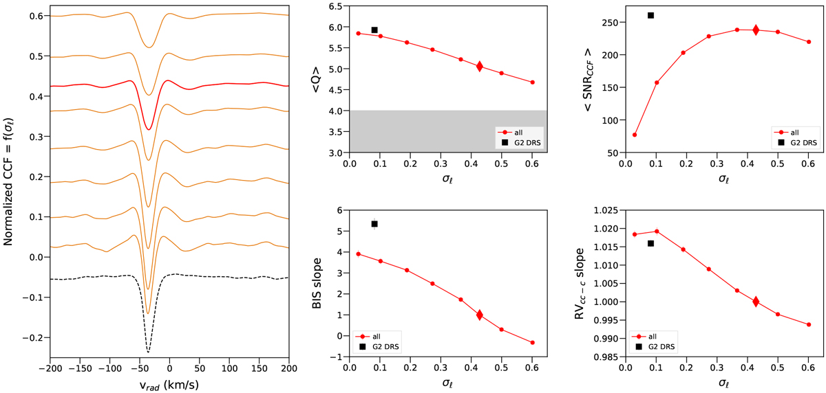
Fig. 12

image

Cross-correlation function and vrad vs. template average line width σ. Left: CCFs resulting from the cross-correlation of one observed δ Cep spectrum (see text) with the ALL template built with a variable σ within the range 0.02–0.62 Å (y-axis). The CCFs tested at different σ are shown in orange and the CCF corresponding to the default σ ~ 0.43 used in this study (Table 2) is shown in red. The CCF corresponding to the same δ Cep spectrum and the G2 HARPS DRS template is showed as a dashed black curve and is shifted vertically for clarity. The four right plots show the behaviour of different CCF observables vs. σ (from left to right and top to bottom; in red circles): (i) the CCF Q-factor averaged over the 103 δ Cep spectra; (ii) the same but for the averaged S/NCCF criterion; (iii) the slope of the linear regression to the δ Cep BIS time series at a given σ vs. the BIS time series at σ ~ 0.43; and (iv) the same but for the RVcc-c time series. On the four plots, the red diamond corresponds to the default σ used in this study for the ALL template and the black square corresponds to the G2 HARPS DRS template.

Current usage metrics show cumulative count of Article Views (full-text article views including HTML views, PDF and ePub downloads, according to the available data) and Abstracts Views on Vision4Press platform.

Data correspond to usage on the plateform after 2015. The current usage metrics is available 48-96 hours after online publication and is updated daily on week days.

Initial download of the metrics may take a while.