Free Access

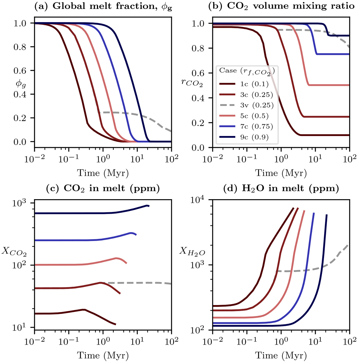
Fig. 3

image

Comparison of Case 1c, 3c, 3v, 5c, 7c, and 9c. (a) Global melt fraction ϕg, (b) CO2 volume mixing ratio, (c) abundance of CO2 in the melt, (d) abundance of H2O in the melt. Lines in (c) and (d) terminate at the time when the global melt fraction ϕg = 0.01.

Current usage metrics show cumulative count of Article Views (full-text article views including HTML views, PDF and ePub downloads, according to the available data) and Abstracts Views on Vision4Press platform.

Data correspond to usage on the plateform after 2015. The current usage metrics is available 48-96 hours after online publication and is updated daily on week days.

Initial download of the metrics may take a while.