Free Access

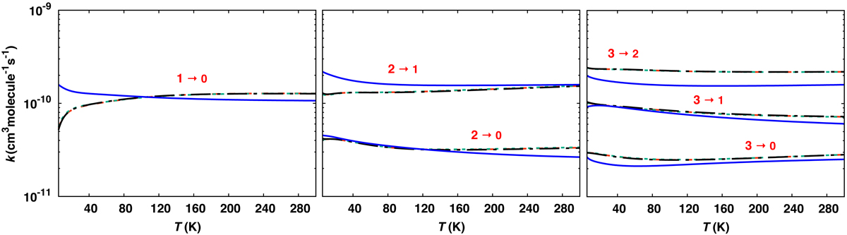
Fig. 3.

image

Rotational rate coefficients for different isotopologs of ArH+ in collision with He in the ground vibrational state of diatom. The solid lines represent the rates for 36ArD++He (blue), the dashed lines (red) indicate the rates for 38ArH++He, and the dotted lines indicate the rates for 40ArH++He, while dash-dotted lines (black) show the rates for 36ArH++He. The rotational transitions are labeled as j → j′.

Current usage metrics show cumulative count of Article Views (full-text article views including HTML views, PDF and ePub downloads, according to the available data) and Abstracts Views on Vision4Press platform.

Data correspond to usage on the plateform after 2015. The current usage metrics is available 48-96 hours after online publication and is updated daily on week days.

Initial download of the metrics may take a while.