Free Access

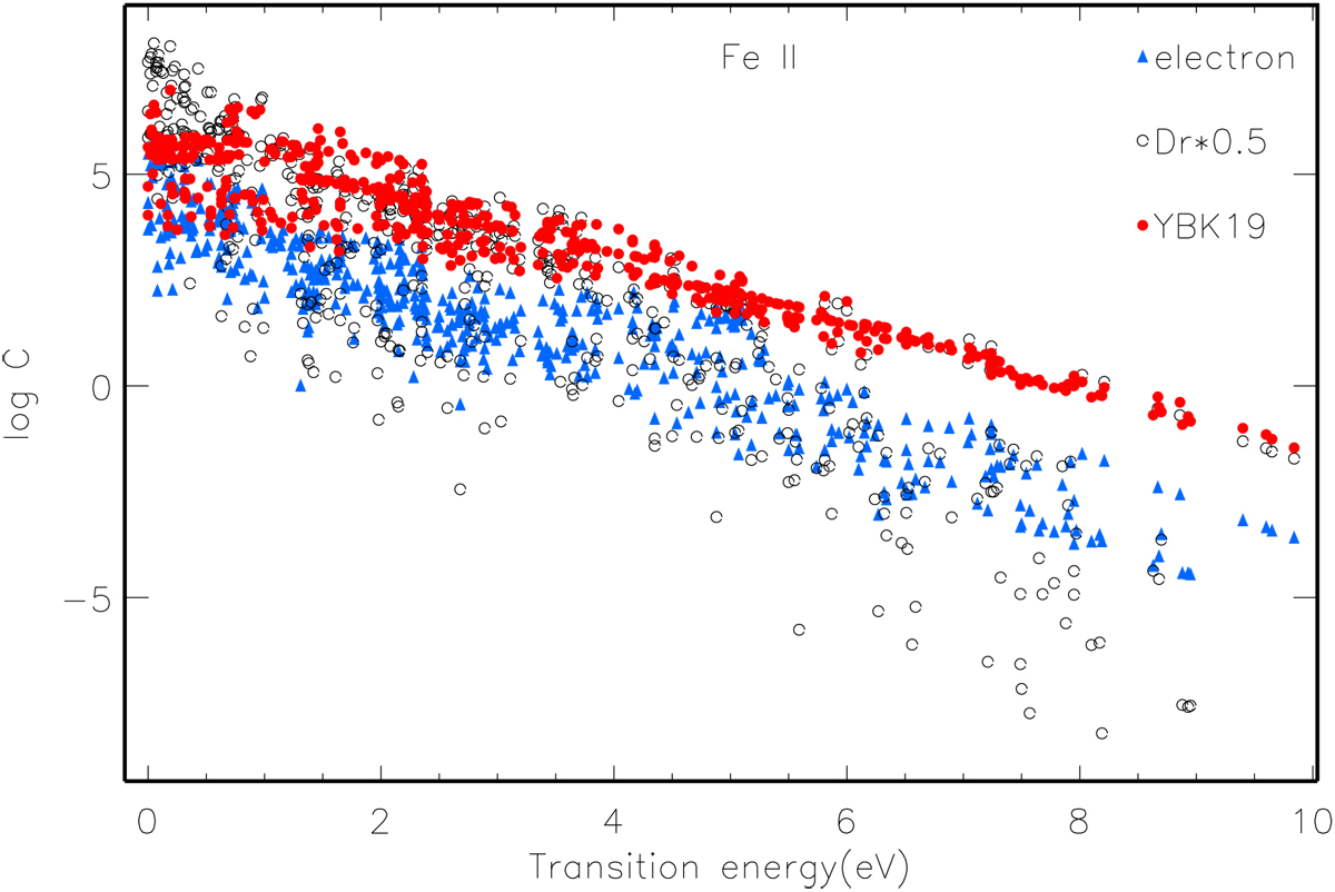
Fig. 2

image

Fe II excitation rates (in s−1), log C, for electron impact (triangles) compared with rates for H I collisions from calculations of YBK19 (filled circles) and compared with the scaled (SH = 0.5) Drawinian rates (open circles). The calculations were made with T = 5830 K, log Ne (cm−3) = 13, and log NH(cm−3) = 16.9.

Current usage metrics show cumulative count of Article Views (full-text article views including HTML views, PDF and ePub downloads, according to the available data) and Abstracts Views on Vision4Press platform.

Data correspond to usage on the plateform after 2015. The current usage metrics is available 48-96 hours after online publication and is updated daily on week days.

Initial download of the metrics may take a while.