Free Access

Fig. 3

image

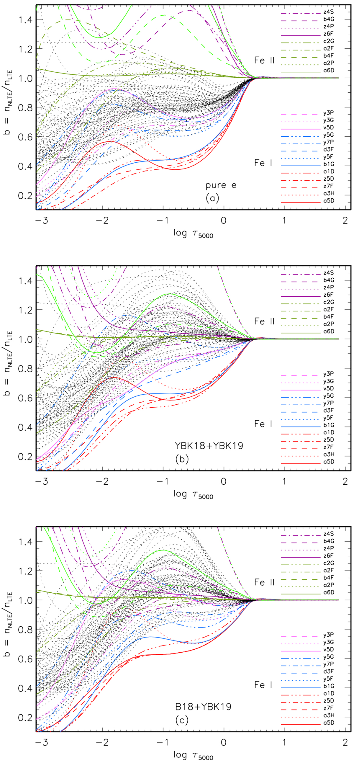
Departure coefficients, b, for levels of Fe I and Fe II as a function of log τ5000 in model atmosphere 4600/1.40/ − 2.60 from calculations using different treatment of H I collisions: pure electronic collisions (top panel); YBK18 + YBK19 (middle panel); B18 + YBK19 (bottom panel). Every fifth of the first 60 levels (Eexc ≤ 5.73 eV) of Fe I is shown. They are quoted in the bottom right part of each panel. All levels of Fe I above Eexc = 7 eV areplotted by black dotted curves. For Fe II, we show every fifth of the first 60 levels (Eexc ≤ 8.16 eV). They are quoted in the top right part of each panel. The letters z, y, x, … are used to denote the odd parity terms, and a, b, c, … for the even parity terms.

Current usage metrics show cumulative count of Article Views (full-text article views including HTML views, PDF and ePub downloads, according to the available data) and Abstracts Views on Vision4Press platform.

Data correspond to usage on the plateform after 2015. The current usage metrics is available 48-96 hours after online publication and is updated daily on week days.

Initial download of the metrics may take a while.