Open Access

Fig. 3

image

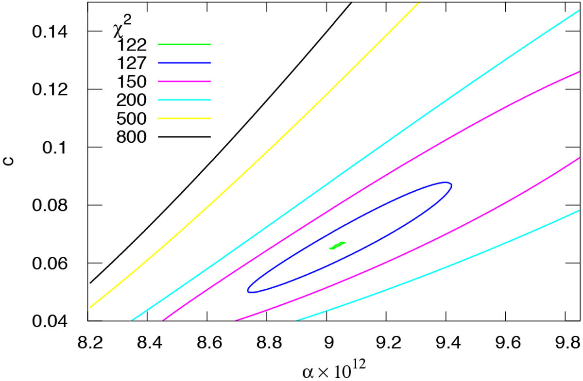
Map of χ2 values as a function of α and c obtained by matching the parametrized BET isotherm (Eqs. (3)–(6)) and the experimental isotherm for ethane adsorption on tholin (Curtis et al. 2008). The best value is obtained for α = 9.05 × 10−12 and c = 0.067. The second contour (blue) indicates the 2σ level. This contour is used to provide an idea of the uncertainties on the values of α and c, and further on the energy terms.

Current usage metrics show cumulative count of Article Views (full-text article views including HTML views, PDF and ePub downloads, according to the available data) and Abstracts Views on Vision4Press platform.

Data correspond to usage on the plateform after 2015. The current usage metrics is available 48-96 hours after online publication and is updated daily on week days.

Initial download of the metrics may take a while.