Open Access

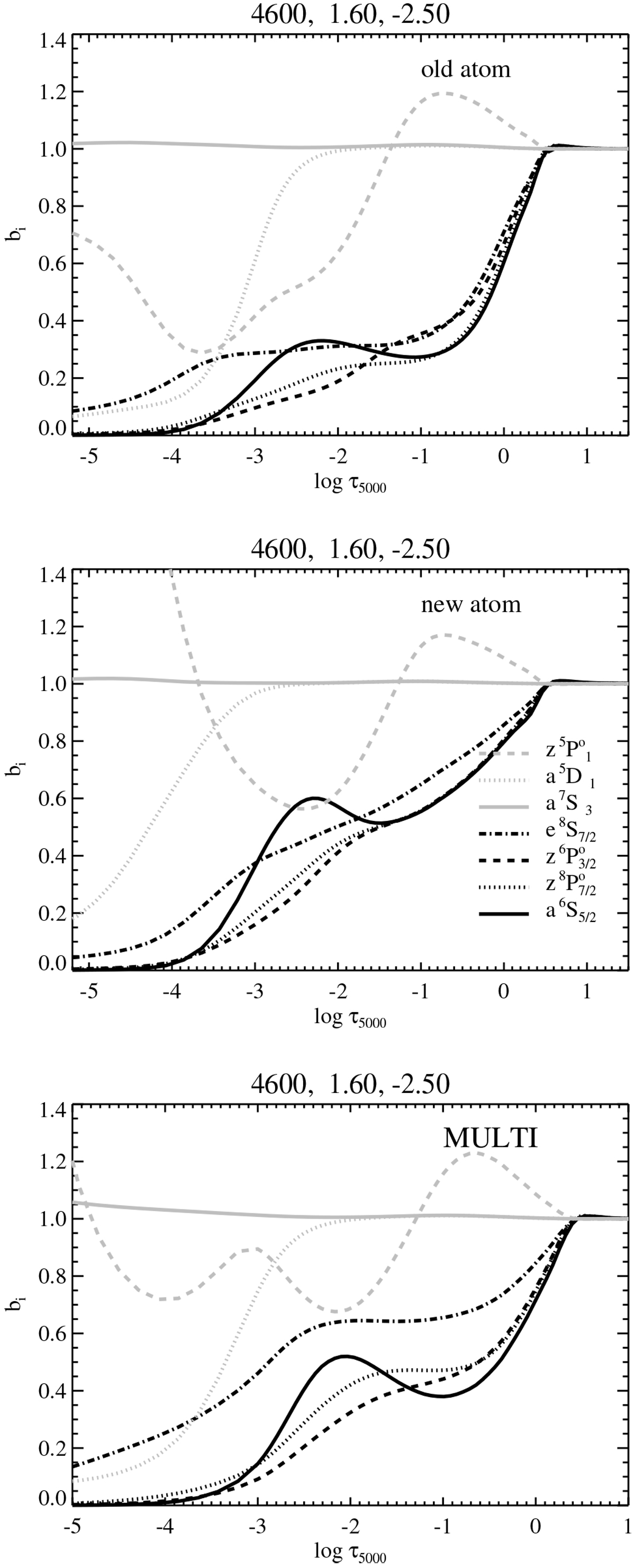
Fig. 8

image

Mn departure coefficients for model atmosphere of a metal-poor red giant. These were computed using the old Mn atom from Bergemann & Gehren (2007) (top) and the new atom from this paper (middle panel: DETAIL, bottom panel: MULTI). The stellar parameters (Teff, log g, and [Fe ∕H]) are given in the figure titles.

Current usage metrics show cumulative count of Article Views (full-text article views including HTML views, PDF and ePub downloads, according to the available data) and Abstracts Views on Vision4Press platform.

Data correspond to usage on the plateform after 2015. The current usage metrics is available 48-96 hours after online publication and is updated daily on week days.

Initial download of the metrics may take a while.