Free Access

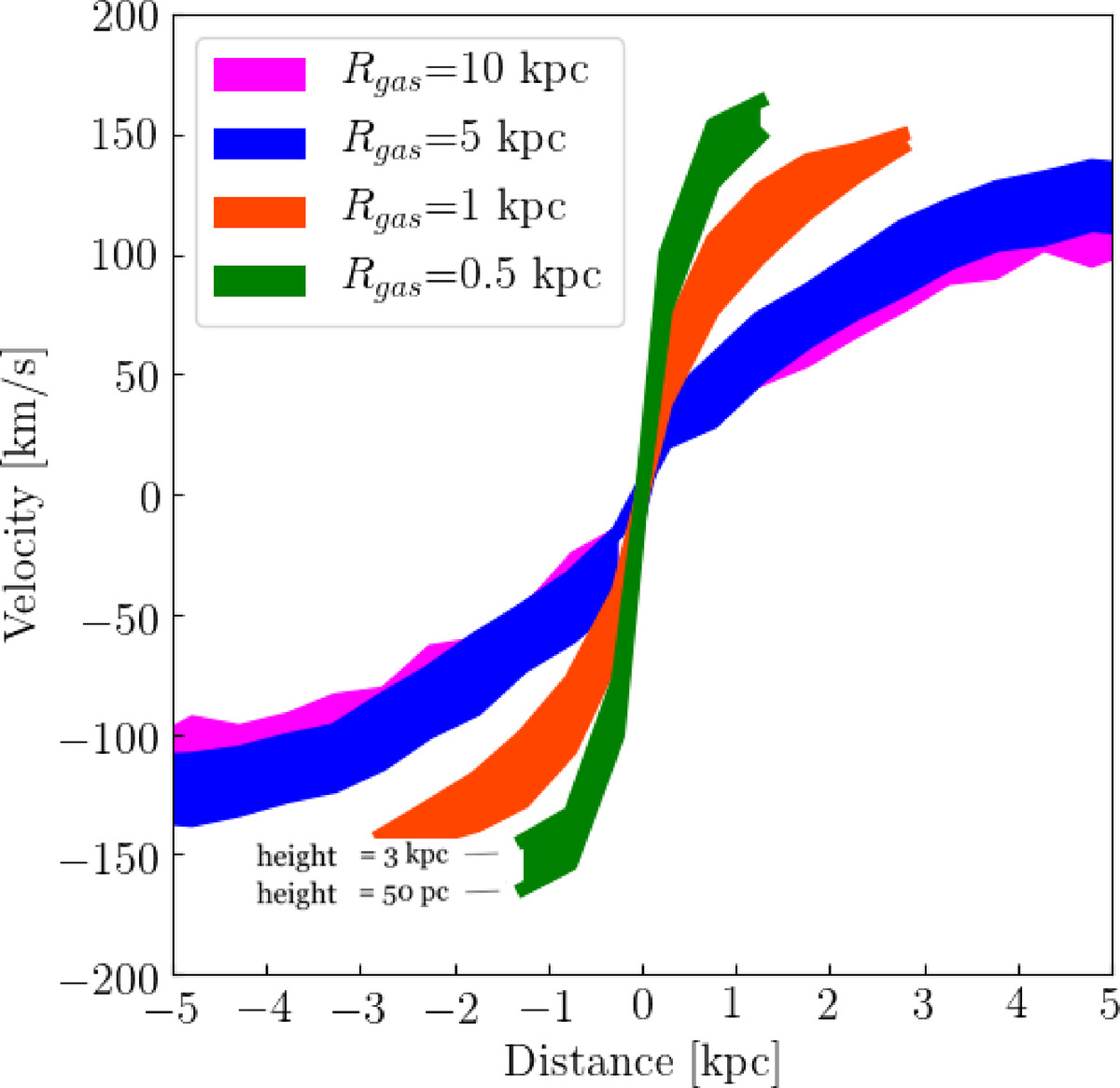
Fig. 5.

image

Effect of the gas disk effective radius, Rgas, and height, Hgas, on the rotation curve. The values of the gas disk effective radius are 0.5 kpc (green), 1 kpc (orange), 5 kpc (blue), and 10 kpc (pink). The upper and lower boundaries (taking the absolute values) of each colored curve represent a disk height of 50 pc and 3 kpc, respectively. The other parameters are fixed to M = 3 × 1010M, R = 4.0 kpc, H = 0.5 kpc, fgas = 0.2, i = 70°, and Q = 1.

Current usage metrics show cumulative count of Article Views (full-text article views including HTML views, PDF and ePub downloads, according to the available data) and Abstracts Views on Vision4Press platform.

Data correspond to usage on the plateform after 2015. The current usage metrics is available 48-96 hours after online publication and is updated daily on week days.

Initial download of the metrics may take a while.