Free Access

This article has an erratum: [https://doi.org/10.1051/0004-6361/201935917e]


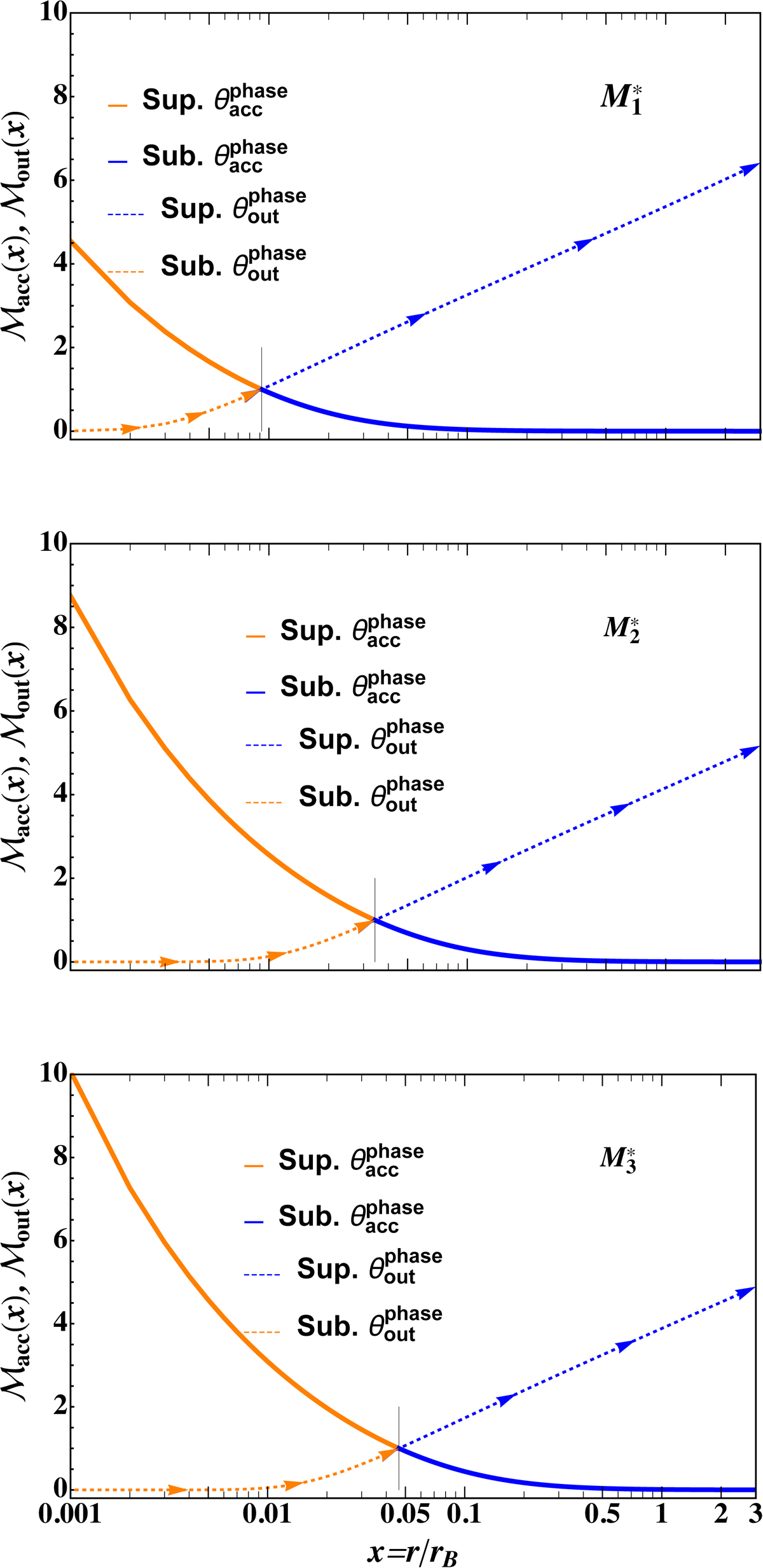
Fig. 2.

image

Mach number of the inflow (solid lines) and outflow (dotted lines) solutions of Eq. (20) with M(τ)≠0. The supersonic part of the inflow solutions is depicted in orange, and the subsonic part is given in blue. In contrast, the supersonic outflow solution is depicted in blue and the subsonic one in orange. The vertical lines in each frame mark the position of the sonic radius. When radiation dominates, the gas will escape from the gravitational potential of the accretor. Upper, middle, and bottom frames: models with fdisc = 0.5, 0.8, and 0.95, respectively (see Table 1).

Current usage metrics show cumulative count of Article Views (full-text article views including HTML views, PDF and ePub downloads, according to the available data) and Abstracts Views on Vision4Press platform.

Data correspond to usage on the plateform after 2015. The current usage metrics is available 48-96 hours after online publication and is updated daily on week days.

Initial download of the metrics may take a while.