Open Access

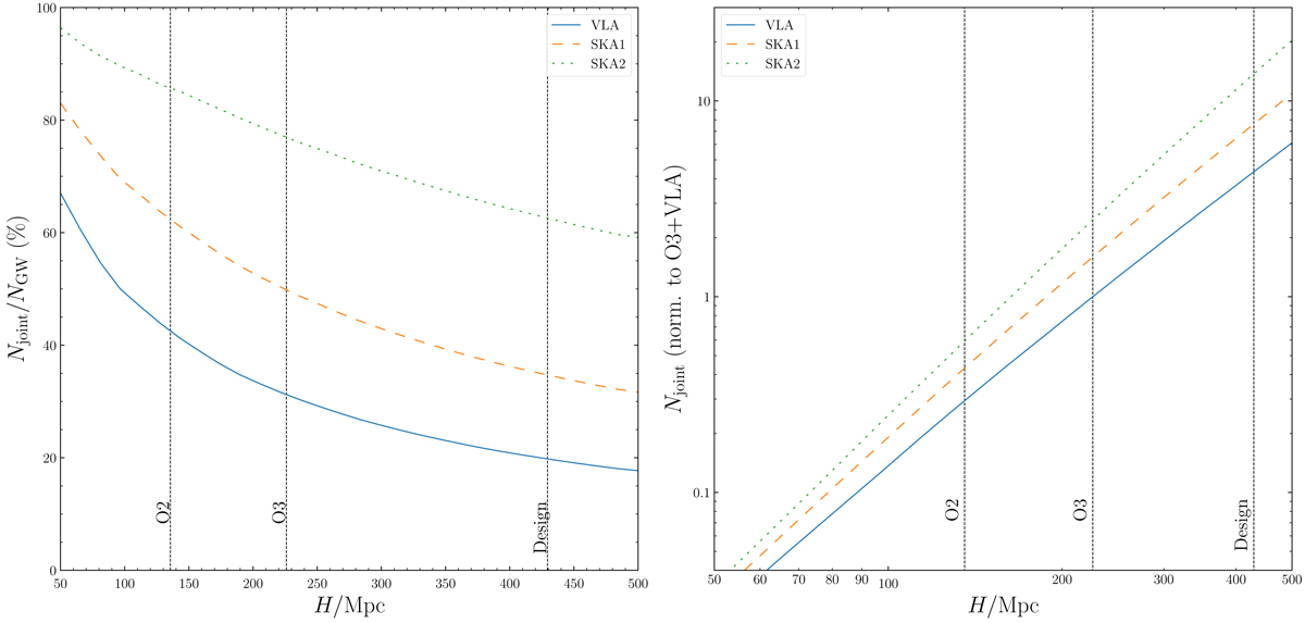
Fig. 2.

image

Left: detectable fraction of radio afterglows among gravitational wave events as function of the horizon distance . Right: expected number of joint detections normalized to case of O3-VLA configuration. In both panels the full (resp. dashed, resp. dotted) lines correspond to the VLA (resp. SKA1, resp. SKA2/ngVLA) being the limiting radio facility.

Current usage metrics show cumulative count of Article Views (full-text article views including HTML views, PDF and ePub downloads, according to the available data) and Abstracts Views on Vision4Press platform.

Data correspond to usage on the plateform after 2015. The current usage metrics is available 48-96 hours after online publication and is updated daily on week days.

Initial download of the metrics may take a while.