Open Access

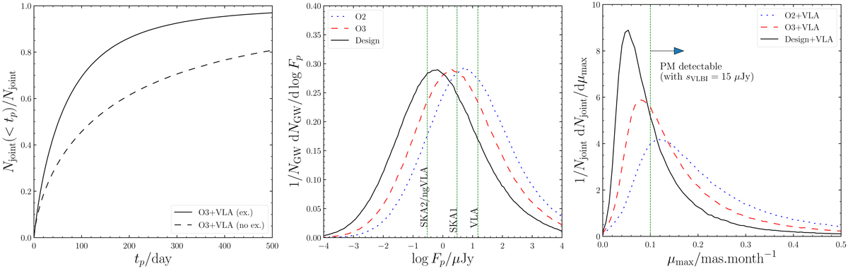
Fig. 6.

image

Left: cumulative distributions of peak times of radio afterglows for jointly detected events in O3-VLA configuration, assuming jet with (solid line) or without (dashed line) lateral expansion. Middle: differential distribution of peak fluxes of GW-detected events assuming horizon for O2 (dotted line), O3 (dashed line) and design (full line) configurations of GW interferometers. The radio sensitivities for VLA, SKA1 and SKA2/ngVLA are indicated for comparison. Right: differential distribution of maximum proper motion for jointly detected events assuming O2-VLA (dotted line), O3-VLA (dashed line), design-SKA1 (full line) configurations. The dotted vertical line shows the lower limit for detection of the proper motion.

Current usage metrics show cumulative count of Article Views (full-text article views including HTML views, PDF and ePub downloads, according to the available data) and Abstracts Views on Vision4Press platform.

Data correspond to usage on the plateform after 2015. The current usage metrics is available 48-96 hours after online publication and is updated daily on week days.

Initial download of the metrics may take a while.