Free Access

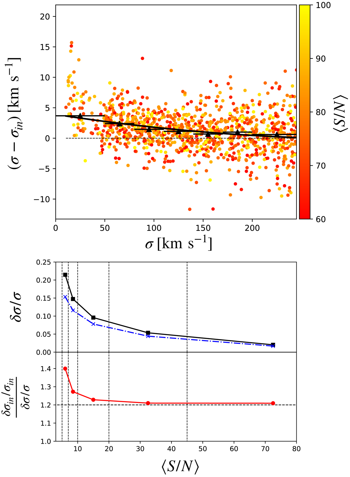
Fig. A.1.

image

Top: difference between pPXF measured velocity dispersions (σ) and input velocity dispersions in simulated spectra (σin), as a function of σ. Only the galaxies with ⟨S/N⟩ > 60 are shown here. The data points are color shaded according to the spectra ⟨S/N⟩. Black triangles are the medians of the distributions in 7 different σ bins. The black polynomial line underlines the small increasing bias at low σ. Bottom: black solid (blue dashed) line shows the relative statistical error estimated from simulations (provided by pPXF), as a function of ⟨S/N⟩. The red curve corresponds to the ratio between the two; the statistical relative errors appear to be underestimated by ∼20% in our spectra.

Current usage metrics show cumulative count of Article Views (full-text article views including HTML views, PDF and ePub downloads, according to the available data) and Abstracts Views on Vision4Press platform.

Data correspond to usage on the plateform after 2015. The current usage metrics is available 48-96 hours after online publication and is updated daily on week days.

Initial download of the metrics may take a while.