Free Access

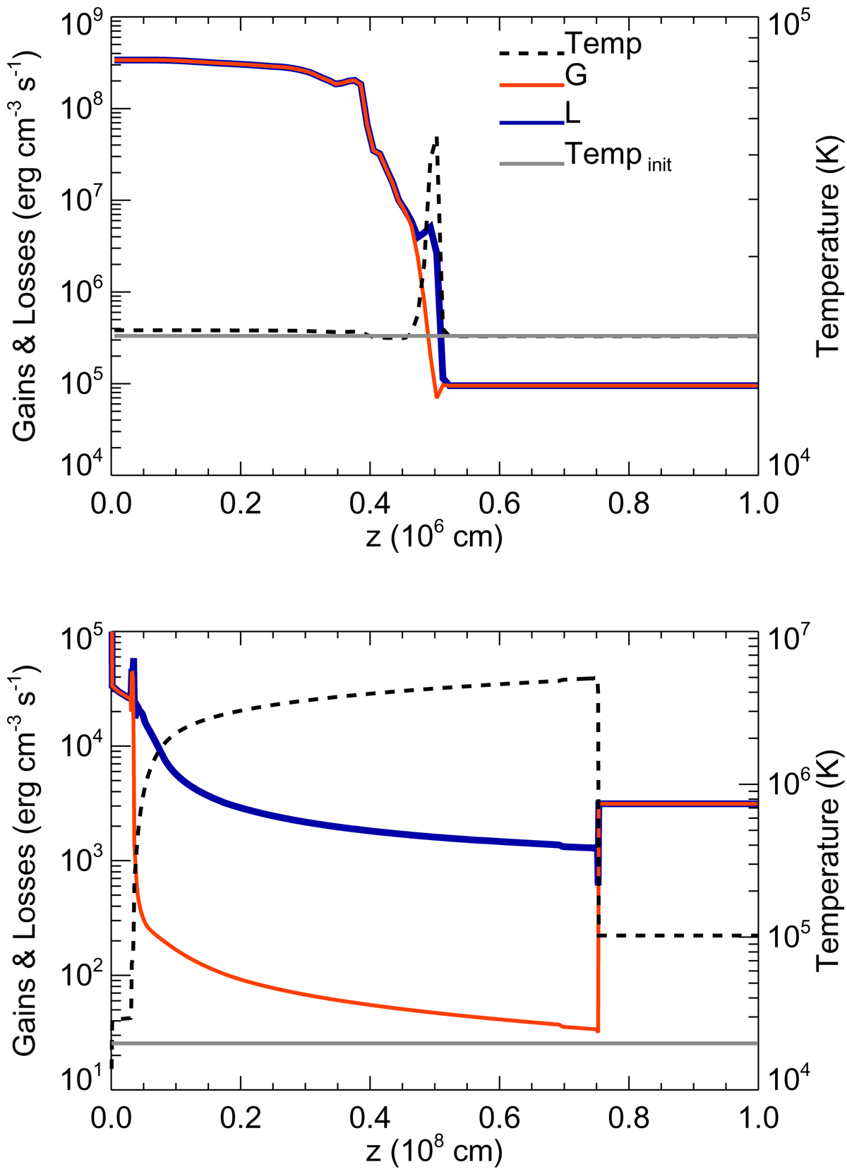
Fig. 4.

image

Gas temperature (black dashed line), radiative gains G (red line), and radiative losses L (blue line) vs. z for the LTE (top panel) and non-LTE (bottom panel) shock cases. Both cases are shown after 6 s of evolution. In each plot the gray solid line represents the initial temperature in the domain.

Current usage metrics show cumulative count of Article Views (full-text article views including HTML views, PDF and ePub downloads, according to the available data) and Abstracts Views on Vision4Press platform.

Data correspond to usage on the plateform after 2015. The current usage metrics is available 48-96 hours after online publication and is updated daily on week days.

Initial download of the metrics may take a while.